Хинониминовые красители
ХИНОНИМИНОВЫЕ КРАСИТЕЛИ, содержат в молекуле остаток n-хинонимина или n-хинондиимина (см. Хинонимины), напр. N-арилпроизводные ф-лы I (R = О или NH, R' = Н). Обладают яркими глубокими цветами от синевато-красного до зеленого, но отличаются малой светостойкостью и очень малой устойчивостью к действию хим. реагентов.
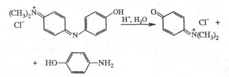
Под действием восстановителей образуют бесцв. лейкосоединения - диариламины, под действием окислителей - хиноны. Разбавленные к-ты расщепляют хинониминовые красители по двойной связи азот-хиноидное ядро, напр.:
Введение в хинониминовые красители электронодонорных заместителей приводит к глубоко окрашенным соед., обладающим сродством к волокну и значит. красящей способностью.
Индоанилины м. б. получены также взаимод. 4-нитрозоариламина с фенолом или 4-нитрозофенола с ариламином. Из индоанилинов применяют
-нафтоловый синий (II;
605 нм) - основной хинониминовый краситель, получаемый взаимод. n-нитрозодиметиланилина с
-нафтолом при 0-5 °С:
Окисление смеси 1,4-арилендиамина с ариламином приводит к индаминам (I; R = NH,
R' = NH2, NAlk2); последние имеют глубокие цвета от синего до зеленого (особенно четвертичные соли). Простейший краситель этой группы - зеленый Биндшедлера (см. Оксазиновые красители).
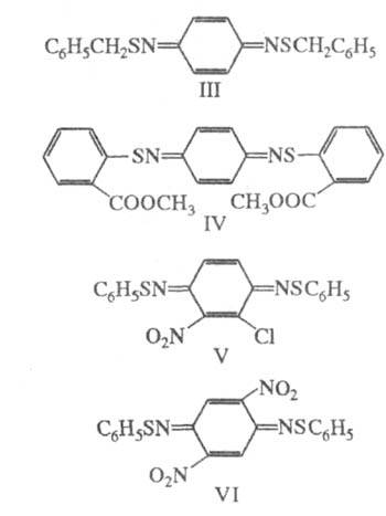
Известна группа достаточно устойчивых хинониминовых красителей, содержащих атомы серы. Последние пригодны в качестве дисперсных красителей для полиэфирных волокон. К ним относятся ярко-желтый хинониминовый краситель (Ш,
444 нм), оранжевый хинониминовый краситель (IV,
483 нм), синевато-красный хинониминовый краситель (V,
519 нм), фиолетовый хинониминовый краситель (VI,
545 нм).
Из-за низкой хим. стойкости хинониминовые красители не применяют для крашения большинства волокнистых материалов. Их используют для крашения бумаги, в полиграфии и лакокрасочном произ-ве.
Большое значение имеют хинониминовые красители в цветной фотографии, где с их участием воспроизводятся голубые (синие) и смешанные цвета, в к-рых голубые комбинируются с другими, напр. с желтыми - для получения зеленых окрасок, с красными -фиолетовых и т. д. В качестве голубых компонентов используют производные
-нафтола, напр. соед. VII, к-рое в процессе цветного проявления окисляется засвеченным бромидом серебра совместно с цветным проявителем (N, N-диэтил-1,4-фенилендиамином) с образованием голубого хинониминового красителя (VIП;
605 нм):
Хинониминовые красители - промежуточные продукты в синтезе оксазиновых, тиазиновых, диазиновых, сернистых и кубовых красителей. Нек-рые хинониминовые красители применяют в качестве окислит.-восстановит. индикаторов.
Лит.: Венкатараман К., Химия синтетических красителей, пер. с англ., т. 2, Л., 1957; Химия синтетических красителей, под ред. К. Венкатарамана, пер. с англ., т. 4, Л., 1975; Степанов Б. И., Введение в химию и технологию органических красителей, 3 изд., М., 1984.
Б. И. Степанов.