Метиновые красители
МЕТИНОВЫЕ КРАСИТЕЛИ (полиметиновые красители), содержат в молекуле метиловые группы —СН= (свободные или замещенные), образующие цепь сопряженных двойных связей с нечетным числом углеродных атомов между концевыми электронодонорной и электроноакцепторной группами. Последние могут обмениваться зарядом, передавая его по цепи сопряжения (т.е. заряд делокализован). В зависимости от заряда молекулы в целом метиновые красители подразделяют на катионные (ф-ла I), анионные (II) и нейтральные (нейтроцианины;III):

Практич. значение в пром-сти имеют в осн. катионные и нейтральные метиновые красители.
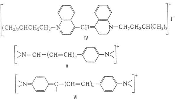
Строение метиновых красителей разнообразно, классификация их сложна. В зависимости от числа метиновых групп в открытой цепи различают моно-, ди-, ..., полиметинцианиновые красители, в зависимости от числа виниленовых групп (—СН=СН—) - карбоцианиновые красители (одна группа), ди-, трикарбоцианиновые и т.д. По названию первого синтезированного метинового красителя "цианин" (от греч. цианос-синий; ф-ла IV) долгое время все метиновые красители называли цианиновыми. С появлением разнообразных типов метиновых красителей это наименование осталось только для группы красителей, содержащих на обоих концах метиновой цепи ароматич. гетероциклы (напр., как у красителя IV). Наименования почти всех прочих групп образуют прибавлением к слову цианиновый (или цианин) приставки, характеризующей их отличия. Так, гемицианинами называют метиновые красители, у к-рых только один концевой атом азота включен в ароматич. гетероцикл. Метиновые красители, у к-рых несущие заряд концевые атомы непосредственно связаны с метиновой цепью, как в ф-лах I-III, наз. стрептоцианиновыми. Если между метиновой цепью и одной концевой группой включено ароматич. кольцо, то эти фенилоги стрептоцианинов относят к аминоариленаминовым красителям (ф-ла V), а если и второй концевой атом отделен арилом,-то к ди- или триарил-метановым красителям и их винилогам (VI; см. также Арилметановые красители).

Число метиновых групп указывают приставкой к групповому названию красителя, напр. монометинцианиновый, диметингемицианиновый, полиметинцианиновый. Нульме-тиновыми (или апоцианиновыми) наз. такие гемицианино-вые красители, у к-рых фенильная группа непосредственно примыкает к азотсодержащему гетероциклу, напр. синий краситель (ф-ла VII).
К метиновым красителям относятся также красители, у к-рых одна или неск. групп —СН= заменены атомами —N=, поскольку при такой замене сохраняются сопряжение связей, делокализация заряда и обусловленные этим физ.-хим. характеристики. В групповые наименования красителей тогда включают приставки моно-аза-, диаза- и т.д.

Помимо указанной классификации, отдельные группы метиновых красителей иногда наз. исходя из хим. признаков, напр. гидра-зоновые, триазеновые.
Метиновые красители могут иметь любые цвета (от желтых до зеленых), отличаются яркими оттенками (т.е. у них узкие спектральные полосы поглощения). Цвет зависит от структуры, а в каждом из типов он углубляется при удлинении метиновой цепи, а также часто при замене групп —СН= на атомы —N=. Для всех метиновых красителей характерна высокая интенсивность окраски: молярный коэф. экстинкции у простейших представителей 30 000, а при удлинении цепи может достигать 250 000, причем он имеет наиб. значения у симметричных красителей, т.е. содержащих одинаковые концевые группы.
Метиновые красители устойчивы к действию восстановителей, а при обработке окислителями разрушаются. К-тами обесцвечиваются вследствие протонирования донорной группы, причем при нейтрализации окраска восстанавливается. Под действием щелочей могут образовываться карбинольные основания, к-рые в большинстве случаев нестабильны и разлагаются с расщеплением метиновой цепи; при щелочных обработках более стабильны метиновые красители с короткими метиновыми цепями. Высокой светостойкостью обладают гл. обр. нуль-, моно-, ди- и триметиновые красители.
Ниже перечислены наиб. практически важные группы катионных метиновых красителей (приведены простые примеры, назван цвет красителя; в ф-лах не указаны сопутствующие анионы): енаминовый (желтый; VIII); гидразоновый (желтый; IX); триазеновый (желтый; X); фенилоги гемицианиновых, среди к-рых нульметиновый (синий; VII) и стириловый (розовый; XI), диазастириловый (синий; XII); триметинцианиновые и их азааналоги [напр., розовый (XIII) и желтый (XIV)]:


Среди нейтральных практич. значение имеют красители как с открытыми концевыми группировками (ф-ла XV), так и с циклическими (т. наз. мероцианиновые; XVI).

Известны также нейтроцианины, содержащие сульфогруп-пы, что позволяет применять их как кислотные красители, или имеющие в боковой цепи четвертичную аммониевую группу (их используют как катионные красители).
Получают метиновые красители взаимод. активной метиленовой (или метильной) группы одного компонента с карбонильной группой второго компонента. В качестве первого компонента чаще всего используют основание Фишера (ф-ла XVII; R = Н), циануксусный эфир либо малонодинитрил, индолы, ароматич. амины, 2-метилпроизводные бензотиазола и бенз-имидазола, а в качестве второго - альдегид Фишера (XVIII; R = Н) или др. гетероциклич. альдегиды, N-алкилнафтости-рил (XIX), N,N-диалкиламинобензальдегиды.

Ди- или триазаметиновые красители синтезируют азосочетанием с послед. алкилированием образовавшегося азосоединения, моноазаметиновые красители - взаимод. нитрозосоединений с перечисленными выше соединениями, содержащими активную метиленовую группу. Мн. катионные метиновые красители используют для крашения полиакри-лонитрильного волокна, имеющего в составе полимера кислотные группы. Введение таких групп в полиэфиры и полиамиды позволяет применять для крашения соответствующих волокон нек-рые типы катионных метиновых красителей (в частности, гемицианиновые) и получать светостойкие окраски. Катионные метиновые красители используют также для крашения натуральной кожи, приготовления чернил, штемпельных красок и копировальных бумаг (см. также Катионные красители). Кар-бинольные основания, образующиеся при действии щелочей на нек-рые катионные метиновые красители, используют в виде микрокапсул в произ-ве бесцв. копировальных бумаг.

Нейтроцианиновые красители нерастворимы в воде; их применяют как дисперсные красители для крашения полиэфирных, полиамидных и ацетатных волокон, а также разл. пластмасс.
Почти все метиновые красители сообщают галогеносеребряным фотогра-фич. эмульсиям дополнит. чувствительность в области видимых или ИК лучей (вплоть до 1500 нм). Это определило их большую роль как оптич. сенсибилизаторов в фотографии. Максимум сенсибилизации обычно приходится на лучи с длиной волны несколько большей, чем максимум поглощения самого красителя (см. также Сенсибилизация оптическая).
Нек-рые монометинцианины и их азааналоги - оптич. отбеливатели, т. к. они бывают бесцветны и довольно сильно флуоресцируют.
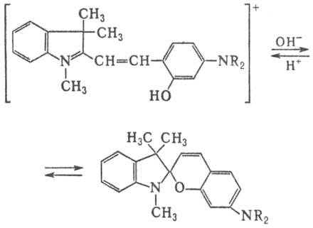
Стириловые красители, получаемые конденсацией гетеро-циклов, содержащих активную метиленовую группу (напр., ф-лы XVII) с o-гидроксибензальдегидами, в щелочной среде переходят в бесцв. спиропираны:

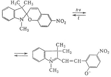
Эти красители используют в произ-ве бесцв. копировальных бумаг. При произ-ве таких бумаг на их пов-сти наносят микрокапсулы из очень тонких пленок, заполненных бесцв. формой красителя, а также каолин, силикагель или др., обладающие слабокислыми св-вами. Под мех. воздействиями капсулы раздавливаются и бесцв. форма красителя переходит в окрашенную. Подобные спиропираны, содержащие вместо аминогруппы нитрогруппу, фотохромны: окраска возникает при УФ облучении и исчезает в темноте (быстрее при натр.):

Их применяют в составе пленок, используемых в устройствах для фотозаписи информации (см. Фотохромизм).
Исп. литература для статьи «МЕТИНОВЫЕ КРАСИТЕЛИ»: Венкатараман К., Химия синтетических красителей, пер. с англ., т. 2, Л., 1957, с. 1305-56; т. 4, Л., 1975, с. 163-319; Киприанов А. И., Вер-бовская Т. М., "Ж. орган. химии", 1965, т. 1, в. 1, с. 13-20; Степанов Б. И., Введение в химию и технологию органических красителей, 3 изд., М., 1984, с. 105—27; Ullmanns Encyklopadie, 4 Aufl., Bd 16, Weinheim, 1978, S. 635-69.
И. А. Троянов.