Цианины
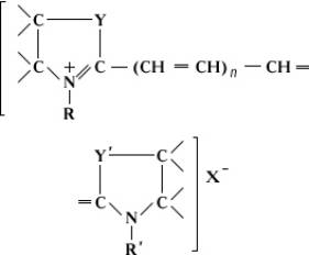
Цианины, органические соединения, содержащие два гетероциклических радикала, соединённых цепью из нечётного числа метиновых групп:

где Y, Y' — О, S, Se, CR2 и др.; R, R' — H, алкил; X—CI-, Br-, I- и др.; n = 0—5.
Название цианинов произошло от первого соединения этого класса — ярко-синего цианина (от греч. kyanós — синий). В зависимости от числа метиновых групп в цепи различают цианины (монометинцианины) с n = 0, карбоцианины (триметинцианины) с n = 1, дикарбоцианины (пентаметинцианины) с n = 2 и т.д. Общий метод синтеза цианинов состоит в конденсации четвертичных солей гетероциклических оснований. Цианины относятся к группе полиметиновых красителей.
Лит. см. при ст. Полиметиновые красители.
Ещё по теме
Метиновые красители — строение, классификация и применение
Циановая и изоциановая кислоты — свойства и реакции
Цианиды — свойства, получение и применение
Циановая кислота — характеристики и применение
Цианоуглероды — свойства и применение
Цистин — свойства и роль в биологии
Синильная кислота и цианистые соли
Водород цианистый — свойства и характеристики
Галоидные соединения циана — свойства и применение
Циановая кислота — особенности и способы получения
Соединения циана — свойства и получение
Цинхомероновая кислота — свойства и реакции
Цианамид — свойства и применение
Циан — свойства и применение
Цианирование — методы и применение