Цианоуглероды
ЦИАНОУГЛЕРОДЫ, орг. соед., в к-рых все или почти все атомы Н углеродной цепи замещены на группы CN. Цианоуглероды относятся к полицианосоединениям. Накопление в молекуле высокополярных и не создающих пространств. затруднений цианогрупп придает соед. необычные физ. и хим. св-ва.
Большинство цианоуглеродов- высококипящие жидкости или кристаллич. в-ва, т-ры кипения и плавления к-рых возрастают при последоват. введении цианогрупп в молекулу (табл.). СН-Кислоты, содержащие неск. цианогрупп, по силе сравнимы с минер. к-тами, напр. для пентациано-1,3-циклопентадиена рКа-11 (вода, 25 °С); для сравнения рКадля НВr -9, для HI —11.
Хим. св-ва цианоуглеродов определяются способностью цианогрупп активировать др. заместители и сопряженные кратные связи. Напр., цианоуглероды легко присоединяют галогены по кратной связи в присут. галогенид-ионов; при этом галогены ведут себя как нуклеофилы, а не электрофилы, что связано с сильными электроноакцепторными св-вами группы CN, напр.:
Цианоуглероды относятся к числу наиб. активных диенофилов в р-циях циклоприсоединения (см. Тетрацианоэтилен). Для цианоуглеродов характерно замещение цианогрупп на группы ОН, OR, NH2 и др., напр. гексацианобензол при обработке водой легко превращается в пентацианофенол (выход 95%).
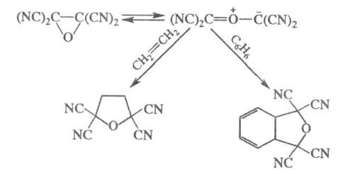
Тетрацианоэтиленоксид (образуется действием Н2О2 на тетрацианоэтилен) присоединяется к олефинам и даже аренам с разрывом связи С — С оксиранового кольца:
Благодаря суммарному электроноакцепторному действию цианогрупп цианоуглероды проявляют высокое сродство к электрону и легко восстанавливаются с образованием устойчивых анион-радикалов, напр.:
С донорами p-электронов цианоуглероды образуют комплексы с переносом заряда (см. Тетрацианохинодиметан), нек-рые из них обладают металлич. проводимостью (см. Металлы органические).
Для получения цианоуглеродов используют общие методы введения цианогруппы в молекулу (см. Нитрилы), а также специфич. методы.
СВОЙСТВА НЕКОТОРЫХ ЦИАНОУГЛЕРОДОВ
| Соединение | Мол. м. | Т. пл., °С | Т. кип., °С | ![]() |
| Дициан NCCN | 52,04 | -27,9 | -21,2 | — |
| Дицианоацетилен NCC CCN | 76,057 | 20,5-21 | 76-76,5 | 1,017 |
| Дицианодиацетилен (NCC С)2 | 100,079 | 64,5-65,5 | 154 | — |
| Тетради аноэтилен (NC)2C=C(CN)2 | 128,09 | 201-202 | 223 | 1,318 |
| Тетрацианохинодиметан
| 204 | 296-298 | — | — |
| Тетрацианопиррол
| 167,13 | 203-212 (с разл.) | — | — |
| Тетрацишо- 1 ,4-дитаин
| 184,24 | 207-208 (с разл.) | — | — |
Трицианометан (в своб. виде и в виде солей) получают из производных малононитрила (р-ция 1); гексацианоэтан - из тетрацианоэтилена (2); дицианоацетилен - обработкой диамида ацетилендикарбоновой к-ты Р2О5 (3);
Окисление Na-соли димеркаптомалеинодинитрила приводит к тетрациано-1,4-дитиину, из к-рого получают полициа-ногетероциклы, напр.:
Цианоуглероды- полупродукты в орг. синтезе, нек-рые из них представляют интерес как перспективные красители. Комплексы цианоуглеродов с переносом заряда используют в электронной пром-сти в качестве полупроводников.
Многие цианоуглероды могут отщеплять синильную к-ту, поэтому обращаться с ними надо с осторожностью.
Лит.: Зильберман Е. Н., Реакции нитрилов, М., 1972; Общая органическая химия, пер. с англ., т. 3, М., 1982, с. 677-92; The Chemistry of cyanogroup, ch. 9, N. Y., 1970, p. 423-638; Gmelin's Handbuch der anorganiscben Chenrie, 8 Aufl., Bd 14, 1976, S. 107-15; Kirk-Othmer encyclopedia, 3 ed., v. 6, N. Y., 1978, p. 625-33.
С. К. Смирнов.

CCN
С)2

