Циклоприсоединение

ЦИКЛОПРИСОЕДИНЕНИЕ, р-ции, протекающие с образованием нового цикла из двух реагирующих молекул (без отщепления к.-л. групп или атомов); сопровождаются общим уменьшением кратности связей. К циклоприсоединению относят также внутримол. взаимод. двух фрагментов молекулы. Классифицируют р-ции по числу атомов каждого компонента, участвующих в образовании цикла [обозначают (2 + 1)-, (2 + 2)-, (3 + 2) циклоприсоединение и т. д.; иногда указывают индексами стереохимию циклоприсоединения, напр., (4s + 2s)-циклоприсоединение, см. Вудворда - Хофмана правила]; реже - по числу вовлекаемых электронов с указанием типа орбитали, напр.,6022-12.jpg или6022-13.jpg
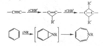
В (2 + 1)-циклоприсоединении к молекуле, содержащей кратную связь, присоединяется атом, имеющий одновременно заполненную и вакантную орбитали; в результате образуется трехчленный цикл. Протекает по согласованному механизму (см. Согласованные реакции). В р-ции могут участвовать моно- и полиены, полиины, напр.:

6022-14.jpg

Циклоприсоединение дигалогенкарбенов к норборнадиену протекает по двум направлениям с образованием продуктов 1,2- и 1,3-присоединения:

6022-15.jpg

Циклоприсоединение дифторкарбена к циклопентадиену - пром. метод получения фторбензола:

6022-16.jpg

Аналогично получают 2-фторнафталин из индена и 2,3-дифторнафталин из стирола.

(2 + 2)-Циклоприсоединение приводит к образованию четырехчленных циклов. Механизм р-ций и эксперим. условия их проведения зависят от электронного строения реагирующих в-в. Циклоприсоединение олефинов, один из к-рых имеет электронодефицитную [напр., (CN)2C = C(CF3)C1, (CN)2C = C(CN)2, (CF3)2C = C(CN)2, CH2=CHCOOR, CH2 = CHNO2], а другой - электроно-обогащенную6022-17.jpg-связь (напр., CH2 = CHOR, CH2 = CHNR2, n-CH3OC6H4CH = CH2), протекает обычно в мягких условиях с высокими выходами через промежут. образование цвиттер-иона. Стереоселективность (определяется наиб. устойчивым цвиттер-ионом) и скорость р-ции резко возрастают с увеличением полярности р-рителя. Так, при взаимод. цис-анетола с тетрацианоэтиленом в среде циклогексана продукт р-ции содержит 10-15% транс-изомера, в среде ацетонигрила - 49%, при этом в последнем случае скорость р-ции возрастает в 6, 3 х 104 раза (из транс-анетола даже в сильно полярных р-рителях образуется только трансизомер):

6022-18.jpg

Циклоприсоединение фгоролефинов протекает при т-ре 100 °С и повышенном давлении через бирадикальные интермедиаты, от устойчивости к-рых зависит направление р-ции (р-ция не носит цепного характера, не ингибируется и не инициируется), напр.:

6022-19.jpg

Аналогично протекает циклоприсоединение кумуленов и олефинов и их димеризация:

6022-20.jpg

Циклоприсоединение кетенов и др. гетерокумуленов (кетениминов R2C = C = NR, тиокетенов R2C = C = S, карбодиимидов RN = C = NR, изоцианатов RN = C = O) протекает через ассоциативное переходное состояние (по принципу "голова к хвосту") со слабо выраженным разделением зарядов и приводит к образованию производных циклобутанона; р-ции высокостереоспецифичны, скорость их слабо возрастает при увеличении полярности р-рителя:

6022-21.jpg

При димеризации кетенов (но не самого кетена) образуются циклобутанд ионы.
Фотохим. сенсибилизир. циклоприсоединения алкенов может протекать нестереоспецифично либо как согласованный стереоспецифич.6022-22.jpg -процесс, приводящий к образованию в случае сим-алкенов смеси двух изомеров, напр.:

6022-23.jpg

При циклоприсоединении алкинов образуются циклобутены.
Фотохим. циклоприсоединение с участием енонов широко используют в синтезе прир. соед., напр. терпенов. Для этих же целей применяют внутримол. циклоприсоединение; последнее - ключевая стадия при получении полиэдрических соединений. Фотохим. циклоприсоединение по карбонильной группе альдегидов или кетонов с олефинами приводит к оксетанам (см. Патерно-Бюхи реакция).
(3 + 2)-Циклоприсоединение (чаще наз. 1,3-диполярным циклоприсоединением) - присоединение к молекуле, содержащей кратную связь, 1,3-диполярных соед.- трехатомных компонентов (разл. комбинации атомов С, О, N), обладающих 46022-24.jpg-электронами, с образованием 5-членных гетероциклов. В качестве 1,3-диполярных соед. используют диазосоединения, азиды, азоксисоединения либо малостабильные нитрилоксиды, нитриламины, нитроны и др., вводимые в р-цию в момент образования, напр.:

6022-25.jpg

Р-ция высокостереоспецифична, почти не чувствительна к полярности р-рителя. Большинство данных указывает на согласованный механизм в соответствии с правилами сохранения орбитальной симметрии; нек-рые р-ции, возможно, протекают ступенчато (напр., через бирадикальные интермедиаты).
Р-ции, в к-рых участвуют аллильные производные, наз. "анионным" циклоприсоединением, напр.:

6022-26.jpg

Благодаря высокой регио- и стереоселективности анионное циклоприсоединение используют в синтезе макроциклич. антибиотиков и прир. соединений.
(4 + 2)-Циклоприсоединение (р-ция Дильса-Альдера) - присоединение соед. с сопряженными кратными связями к соед. с активир. кратной связью с образованием 6-членных циклов (см. Диеновый синтез).
Известны др. типы циклоприсоединения: (4 + 1)-циклоприсоединение, напр. взаимод. бутадиена с SO2 - пром. метод синтеза 3-сульфолена (см. Сулъфолены); (4 + 4)-циклоприсоединение, напр. фотохим. димеризация антрацена и др. Тримол. р-ции циклоприсоединения, как правило, многоступенчатые процессы.
Р-ции, обратные циклоприсоединению, наз. циклоэлиминированием, циклореверсией, ретро-циклоприсоединением.
Циклоприсоединение широко используют в орг. химии для синтеза карбо- и гетероциклич. соед. с разл. набором и числом атомов в кольце; оно представляет большой теоретич. интерес.

Лит.: Джилкрист Т., Сторр Р., Органические реакции и орбитальная симметрия, пер. с англ.,М., 1976, с. 101-36, 146-62, 165-70, 184-224, 231-44; Общая органическая химия, пер. с англ., т. 1, М., 1981; Мар ч Дж., Органическая химия, пер. с англ., т. 3, М., 1987, с. 234-69; Trost B.M., "Angew. Chem.", 1986, Jahr. 98, Hf. 1, S. 1-114.

В. Р. Скварченко.