Изоцианаты
ИЗОЦИАНАТЫ, соед. общей ф-лы RN=C=O. Различают алкил-, арил-, гетерилизоцианаты (R - соотв. Alk, Аr, остаток гетероароматич. соед.), ацилизоцианаты RC(O)N=C=О, сульфонилизоцианаты RSO2N=C=O и элементоорг. Изоцианаты, содержащие атомы Si, Ge, So или Р, напр. (CH3)3SiN=C=0. Изоцианатная группа имеет строение, промежуточное между резонансными структурами
Она полярна, линейна, длина связи N=C 0,119, С=О 0,118 нм. В ИК спектре изоцианаты имеют характеристич. поглощение в области 2250-2270 см-1, в УФ спектре - при 220-250 нм. .
Многие изоцианаты - жидкости или твердые низкоплавкие в-ва (см. табл.). Изоцианаты высокотоксичны; многие - лакриматоры. Систематич. воздействие изоцианатов на организм повышает его чувствительность к ним. ПДК изоцианатов находится в пределах 0,05-1 мг/м3.
Ароматич. изоцианаты более реакционноспособны, чем алифатические. Электроноакцепторные заместители увеличивают реакц. способность, а электронодонорные понижают ее. opmo-Заместители в ароматич. ядре значительно понижают реакц. способность. Ацил- и сульфонилизоцианаты имеют повыш. реакц. способность. Со спиртами изоцианаты образуют уретаны:
Эта р-ция изоцианатов лежит в основе пром. синтеза полиуретанов из диизоцианатов и гликолей. Фенолы и тиолы реагируют так же, как спирты. Изоцианаты легко реагируют с аминами, образуя замещенные мочевины:
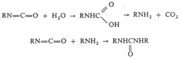
Аммиак, гидроксиламин, гидразин, амиды, уретаны, цианамид, мочевины, амидины, гуанидины, нитрамины, сульфонамиды реагируют аналогично. При взаимрд. изоцианатов с водой образуется соответствующая карбаминовая к-та, к-рая распадается с выделением СО2 и амина. Последний реагирует с изоцианатами, образуя замещенные мочевины:
В щелочной среде р-ция заканчивается на стадии образования амина, в кислой образуется аммониевая соль. Сероводород реагирует так же, как вода. На р-ции изоцианатов с водой основано получение пенополиуретанов из низкомол. полиуретанов с концевыми изоцианатными группами или из смесей диизоцианатов и многоатомных спиртов. С карбоновыми к-тами изоцианаты образуют смешанные ангидриды, к-рые могут распадаться с образованием симметрич. ангидрида и амина:
Продукты взаимод. изоцианатов с минер. к-тами неустойчивы и при действии воды превращ. в аммониевые соли, напр.:
Ароматические изоцианаты при действии H2SO4 сульфируются в кольцо. При взаимод. изоцианатов с пероксидами образуются азосоединения, напр.: RN=C=O + R'OOH : RNHC(O)OOR' : RN = NR + R'OH + CO2 Эта р-ция используется для колориметрич. определения ароматич. изоцианатов и пероксидов. Изоцианаты реагируют с соед., содержащими нуклеоф. центр на атоме С - цианид-ионом, металлоорг. соед., анионами СН-кислот, енаминами и др., напр.:
В р-ции Фриделя - Крафтса изоцианаты образуют амиды, напр.:
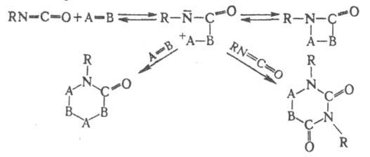
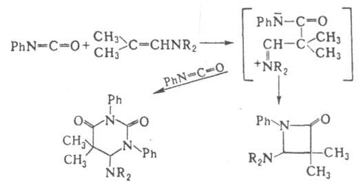
Изоцианаты вступают в 1,2-циклоприсоединение со мн. соед., имеющими кратные связи, по схеме:
Так, напр., происходит димеризация и тримеризация изоцианатов. Димеризация катализируется триалкилфосфинами, в меньшей степени третичными аминами. Димеры изоцианатов (1,2-азетидин-2,4-дионы) при повыш. т-ре диссоциируют на мономеры:
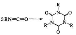
Тримеризация алифатич. и ароматич. изоцианатов ускоряется основаниями [СН3 COOK, (С2Н5)3 N и др.]:
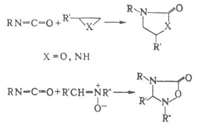
Тримеры изоцианатов (изоцианураты) устойчивы к нагреванию и имеют низкую реакц. способность. 1,2-Циклоприсоединение изоцианатов к кетонам, енаминам, не имеющим в b-положении атома Н, азометинам, виниловым эфирам приводит к различным гетероциклич. соед., напр.:
Многие др. соед. с кратными связями (альдегиды, тиокарбонильные соед., нитрозосоединения, алкилиденфосфораны, фосфинимины и др.) реагируют с изоцианатами по механизму 1,2-циклоприсоединения, с послед. расщеплением цикла, напр.:
При нагр. в присут. катализаторов [напр., R3PO, Fe(CO)5] изоцианаты превращ. по механизму 1,2-циклоприсоединения в карбодиимиды, напр.: 2ArN=C=O : ArN=С=NAr + СО2 Диизоцианаты образуют в этой р-ции полимерные карбодиимиды. С эпоксидами, азиридинами и нитронами изоцианаты вступают в 1,3-циклоприсоединение, напр.:
Ацилизоцианаты вступают в диеновый синтез, напр.:
Изоцианаты полимеризуются в орг. р-рителях с образованием [—NR—С(О)—]п. Процесс осуществляется при т-рах от -20 до 100°С; катализаторы - NaCN, NaNH2, (C2H5)3P, C2H5MgBr, C4H9Li. С этиленоксидом в присут. (С2Н5)3Аl образуют полимер линейного строения:
Для хим. анализа к изоцианатам добавляют вторичный амин (напр., дибутиламин) и определяют кол-во амина, не вступившего в р-цию.
Получение и применение. В пром-сти изоцианаты получают фосгенированием аминов в высококипящем р-рителе (напр., в о-дихлорбензоле) при избытке фосгена:
На первой стадии р-ции при 0-60 °С образуются карбамоилхлорид и дизамещенная мочевина, к-рые при т-ре 150-200 °С превращ. в изоцианат. Для предотвращения взаимод. образовавшегося изоцианата с амином в нек-рых случаях фосгенированию подвергают гидрохлорид или карбамат амина, напр.:
При фосгенировании силилзамещенных аминов изоцианаты образуются с высоким выходом в очень мягких условиях, напр.:
Перспективен метод синтеза изоцианатов действием СО на ароматич. нитросоединения в присут. катализатора, напр. Со2(СО)8 или соед. Pd: PhNO2 + 3СО : PhN=С=О + 2СО2 Изоцианаты могут быть получены термич. разложением уретанов или фосгенированием замещенных мочевин при нагр.:
Для снижения т-ры процесса и предотвращения обратной р-ции используют силилзамещенные производные этих соед., напр.:
Уретаны и замещенные мочевины, так же как и нек-рые др. продукты присоединения нуклеофилов к изоцианатам, наз. изоцианатами блокированными (скрытыми). При нагр. до т-ры разложения они выделяют свободный изоцианат или реагируют подобно последнему. Важный препаративный метод получения изоцианатов - перегруппировка Курциуса (X = N3); перегруппировки Гофмана (X = NHHal) и Лоссена (X = NHOH) м. б. использованы при получении изоцианатов, устойчивых в водной среде.
Изоцианаты получают также по след. р-циям:
Ацилизоцианаты синтезируют по p-циям:
Сульфонилизоцианаты синтезируют аналогично, а также фосгенированием сульфамидов. Изоцианаты используют для получения полиуретанов, в синтезе пестицидов - производных карбаминовой к-ты. Блокированные изоцианаты - компоненты пропиточных составов для текстильных материалов, вулканизующие агенты резиновых смесей, компоненты одноупаковочных полиуретановых лаков. См. также Гексаметилендиизоцианат, Метилизоцианат. Толуилендиизоцианаты, 4,4'-Дифенилметандиизоцианат.
Литература
Саундерс Дж. X., Фриш К. К., Химия полиуретанов, пер. с англ., ч. 1, М., 1968; Мономеры для поликонденсации, пер. с англ., М., 1976; Миронов В.Ф., Козюков В. П., "Ж. общ. хямии", 1984, т. 54, в.6, с. 1217-35; Обшая органическая химия, пер. с англ., т. 3. М., 1982, с. 629-46; Горбатенко В. И., Журавлев Е. 3., Самарай Л. И., Изоцианаты. Методы синтеза и физико-химические свойства алкил-, арил- и гетерилизоцианатов. К., 1987; Ozaki Sh., "Chem. Rev.", 1972, v. 72, № 5, p. 457-96. Е. Ш. Kaгaн.
Синонимы/примеры:*
Метилизоцианат; Фенилизоцианат; Гексаметилендиизоцианат; Толуилендиизоцианат; Метилендифенилдиизоцианат
*подобраны ИИ, возможны неточности
Ещё по теме
Изоцианаты — свойства и применение
Изоцианаты и изотиоцианаты — свойства и применение
Изоцианаты — свойства и применение
Изонитрилы — особенности и применение
Органические тиоцианаты — свойства и применение
Фенилизоцианат — характеристики и применение
Толуилендиизоцианаты — свойства и применение
Эфиры изотиоциановой кислоты — свойства и применение
Изотиоцианаты и их применение
Нитрилы и изонитрилы — свойства и получение
Эфиры циановой и изоциановой кислот — свойства и методы получения
Изонитрилы — строение, свойства и реакции
Фталоцианины — свойства и применение
Этилоизоцианид — характеристики и свойства
Изомерия в химии — виды и значение