Карбодиимиды

КАРБОДИИМИДЫ, соединения общей ф-лы RN=C=NR'. Карбодиимиды - жидкие или твердые в-ва, при перегонке частично разлагаются и полимеризуются. Стабильность их возрастает с удлинением алкильных радикалов в молекуле, а также при наличии вторичных, третичных и ароматич. радикалов. В УФ области карбодиимиды поглощают при 212 нм, в ИК области - при 2130 (алифатич.) или 2120 и 2140 см -1 (ароматич.). Карбодиимиды очень легко реагируют с нуклеоф. агентами, напр.:
302_321-57.jpg
Получают карбодиимиды: отщеплением H2S от N,N'-дизамещенных тиомочевин действием HgO, PbO, COCl2, SOCl2, SO2Cl2; отщеплением СО2 от изоцианатов при высокой т-ре или в присут. катализаторов - фосфиноксидов, карбонилов Fe, W, Mo; дегидратацией дизамещенных мочевин с помощью толуолсульфохлорида или Р2О5. Количеств. анализ карбодиимидов основан на определении СО, образующегося по р-ции:

RN=C=NR' + (СООН)2 : RNHCONHR' + СО + СО2

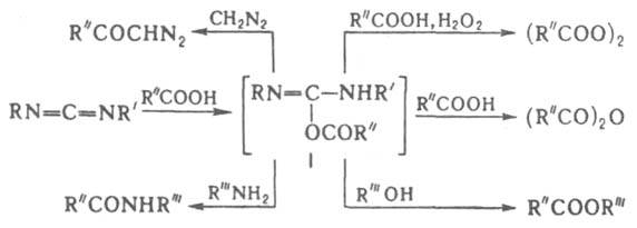
Карбодиимиды широко применяют в лабораторных и пром. синтезах, особенно в р-циях меж- и внутримол. дегидратации. При р-ции с карбоновыми к-тами карбодиимиды образуют О-ацилизомочевины (ф-ла I) - нестабильные промежут. продукты, реагирующие со мн. нуклеофилами, что применяется для синтеза производных к-т:
302_321-58.jpg
Аналогично карбоновым к-там реагируют с карбодиимидами фосфорная к-та и ее эфиры, что используют, напр., в синтезе полинуклеотидов. С помощью карбодиимидов осуществляют внутримол. дегидратацию (напр., g-гидроксикислот в лактоны), эпимеризацию cахаров, получают арилалкиловые зфиры. Амиды и оксимы дегидратируются карбодиимидами до нитрилов. Раствор ДМСО и карбодиимидов в безводных к-тах окисляет первичные спирты в альдегиды, а вторичные в кетоны. Карбодиимиды применяют как катализаторы при получении полиоксиметилена из формальдегида, для сшивки полимеров со своб. карбоксильными или сульфогруппами, в произ-ве смазочных масел, при синтезе пептидов и производных барбитуровой к-ты, для модификации эфиров целлюлозы, придающей им способность окрашиваться кислотными красителями, в качестве деполяризаторов в электрохим. ячейках. Hаиб. часто применяемый карбодиимид дициклогексилкарбодиимид (ДЦК): бесцв. кристаллы, т. пл. 34 35°С, т. кип. 155°С/11 мм рт. ст. Ди-n-толилкарбодиимид используют при синтезе ангидридов сульфокислот и нуклеотидов; водорастворимые карбодиимиды, напр. 1-(3-диметиламинопропил)-3-этилкарбодиимид, - при работе с биол. субстратами, полимерные карбодиимиды - для синтеза белков. ЛД50 для ДЦК 2,6 г/кг (крысы).

Литература
Бочаров Б. В., "Успехи химии", 1965, т. 34, в. 3, с. 488-502; Физер Л., Физер М., Реагенты для органического синтеза, пер. с англ., т. 1, М., 1970. с. 422-28; Риг Д., Сингх Ж., в кн.: Пептиды, пер. с англ., М., 1983; Mikolajczyk М., Kielbasinski P.,"Tetrahedron", 1981, v. 37,№ 2, p. 233-84.
Д. В. Иоффе.

Синонимы/примеры:* Карбодиимид; N,N'-дициклогексилкарбодиимид; DCC
*подобраны ИИ, возможны неточности