Нитросоединения
Нитросоединения, органические соединения, содержащие одну или несколько нитрогрупп — NO2 в молекуле, связанных с атомами углерода. Различают моно-, ди-, три- и полинитросоединения (поли-нитросоединения). Нитросоединения могут быть алифатическими (нитропарафины и нитроолефины); ароматическими, содержащими нитрогруппы в ароматическом ядре, например нитроанилины, нитробензол, нитротолуолы, нитронафталины и др.; жирноароматическими — нитросоединения с нитрогруппами только в боковой алифатической цепи, например фенилнитрометан С6Н5СН2NO2, нитростирол C6H5CH = CHNO2 и др., а также нитросоединения с нитрогруппами в боковой цепи и ароматическом кольце, например n-нитрофенилнитрометан O2NC6H4CH2NO2.
Ароматические нитросоединения — желтоватые жидкости или кристаллические вещества, хорошо растворимые в органических растворителях, плохо — в воде; их синтезируют в промышленности и лабораторных условиях нитрованием ароматических соединений нитрующими смесями. Ароматические поли-нитросоединения применяются в качестве взрывчатых веществ [тринитротолуол, аммониевая соль тринитрофенола (см. Пикраты), тринитрофенилметилнитрамин и др.]. Восстановление нитрогрупп приводит к ароматическим аминам — полупродуктам в производстве различных красителей.
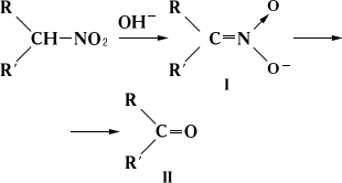
Алифатические нитросоединения получают в промышленности главным образом нитрованием парафинов азотной кислотой или окислами азота. Простейшие мононитропарафины — бесцветные жидкости со своеобразным запахом. Нитро-парафины легко восстанавливаются до гидроксиламинов и аминов. При действии оснований первичные и вторичные нитросоединения образуют соли аци-формы нитросоединений, т. н. изонитросоединений (I), легко превращающиеся в альдегиды или кетоны (II):

(R — алкил, R' — H или алкил).
При обработке солей нитросоединений (III), а в некоторых случаях самих нитросоединений или их аци-форм алкилирующими агентами может происходить О-алкилирование с образованием нитроновых эфиров (IV):


или С-алкилирование:

(X — атом галогена). Направление реакции зависит как от структуры соли, так и от природы алкилирующего агента. При действии на нитросоединения концентрированных кислот получаются карбоновые кислоты. Алифатические нитросоединения легко конденсируются с альдегидами и кетонами с образованием нитроспиртов, дегидратация которых приводит к нитроолефинам. Эти реакции широко используют в лабораторной практике. Нитропарафины хорошо растворяют различные органические соединения. См. также Нитрометан, Нитроформ, Тетранитрометан.
Некоторые нитросоединения обладают токсическим действием, могут вызывать поражение печени, иногда глаз (катаракта).
Лит.: Химия нитро- и нитрозогрупп, под ред. Г. Фойера, пер. с англ., М., 1972; Топчиев А. В., Нитрование углеводородов и других органических соединений, 2 изд., М., 1956; Орлова Е. Ю., Химия и технология бризантных взрывчатых веществ, 2 изд., Л., 1973.
М. М. Краюшкин.