Нитросоединeния
НИТРОСОЕДИНEНИЯ (С-нитросоединения), содержат в молекуле одну или неск. нитрогрупп, непосредственно связанных с атомом углерода. Известны также N- и О-нитро-соединения (см. Нитрамины и Нитраты органические).
Нитрогруппа имеет строение, промежуточное между двумя предельными резонансными структурами:

Группа планарна; атомы N и О имеют , sр2-гибридизацию, связи N—О равноценные и практически полуторные; длины связей, напр. для CH3NO2, 0,122 нм (N—О), 0,147 нм (С—N), угол ONO 127°. Система С—NO2 плоская с низким барьером вращения вокруг связи С—N.
Нитросоединения, имеющие хотя бы один а-Н-атом, могут существовать в двух таутомерных формах с общим мезомерным анионом. О-форма наз. аци-нитросоединением или нитроновой к-той:

Известны разл. производные нитроновых к-т: соли ф-лы RR'C=N(O)O- M+ (соли нитросоединений), эфиры (нитроновые эфиры) и т.д. Эфиры нитроновых к-т существуют в виде иис- и транс-изомеров. Существуют циклич. эфиры, напр. N-оксиды изоксазолинов.
Назв. нитросоединений производят прибавлением префикса "нитро" к назв. соединения-основы, по необходимости добавляя цифровой указатель, напр. 2-нитропропан. Назв. солей нитросоединений производят из назв. либо С-формы, либо аци-формы, или нитроновой к-ты.
Физические свойства. Простейшие нитроалканы-бесцв. жидкости. Физ. св-ва нек-рых алифатических нитросоединений приведены в таблице. Ароматические нитросоединения-бесцв. или светло-желтые высококипящие жидкости или низкоплавкие твердые в-ва, обладающие характерным запахом, плохо раств. в воде, как правило, перегоняются с паром.
ФИЗИЧЕСКИЕ СВОЙСТВА НЕКОТОРЫХ АЛИФАТИЧЕСКИХ НИТРОСОЕДИНЕНИЙ

* При 25°С. ** При 24°С. *** При 14°С.
В УФ спектрах алифатических нитросоединений lмакс 200-210 нм (интенсивная полоса) и 270-280 нм (слабая полоса); для солей и эфиров нитроновых к-т соотв. 220-230 и 310-320 нм; для гем-динитросоед. 320-380 нм; для ароматических нитросоединений 250-300 нм (интенсивность полосы резко снижается при нарушении копланарности).
В спектре ПМР хим. сдвиги a-Н-атома в зависимости от строения 4-6 м.д. В спектре ЯМР 14N и 15N хим. сдвиг 5 от - 50 до + 20 м.д.
В масс-спектрах алифатических нитросоединений (за исключением CH3NO2) пик мол. иона отсутствует или очень невелик; осн. процесс фрагментации - отщепление NO2 или двух атомов кислорода с образованием фрагмента, эквивалентного нитрилу. Для ароматических нитросоединений характерно присутствие пика мол. иона; осн. пик в спектре соответствует иону, получаемому при отщеплении NO2.
Химические свойства. Нитрогруппа - одна из наиб. сильных электроноакцепторных групп и способна эффективно делокализовать отрицат. заряд. В ароматич. соед. в результате индукционного и особенно мезомерного эффектов она влияет на распределение электронной плотности: ядро приобретает частичный положит. заряд, к-рый локализован гл. обр. в орто- и пара-положениях; константы Гаммета для группы NO2 sм 0,71, sn 0,778, s+n 0,740, s-n 1,25. Т. обр., введение группы NO2 резко увеличивает реакц. способность орг. соед. по отношению к нуклеоф. реагентам и затрудняет р-ции с электроф. реагентами. Это определяет широкое применение нитросоединений в орг. синтезе: группу NO2 вводят в нужное положение молекулы орг. соед., осуществляют разл. р-ции, связанные, как правило, с изменением углеродного скелета, и затем трансформируют в др. ф-цию или удаляют. В ароматич. ряду часто используют и более короткую схему: нитрование-трансформация группы NO2.
Мн. превращения алифатических нитросоединений проходят с предварит. изомеризацией в нитроновые к-ты или образованием соответствующего аниона. В р-рах равновесие обычно практически полностью сдвинуто в сторону С-формы; при 20 °С доля аци-формы для нитрометана 1•10-7, для нитропропана 3.10-3. Нитроновые к-ты в своб. виде, как правило, неустойчивы; их получают осторожным подкислением солей нитросоединений. В отличие от нитросоединений они проводят ток в р-рах и дают красное окрашивание с FeCl3. Аци-нитросоединения-более сильные СН-кислоты (рКа ~ 3-5), чем соответствующие нитросоединения (рКа ~ 8-10); кислотность нитросоединений повышается с введением электроноакцепторных заместителей в a-положение к группе NO2.
Образование нитроновых к-т в ряду ароматических нитросоединений связано с изомеризацией бензольного кольца в хиноидную форму; напр., нитробензол образует с конц. H2SO4 окрашенный солеобразный продукт ф-лы I, о-нитротолуол проявляет фотохромизм в результате внутримол. переноса протона с образованием ярко-синего О-производного:

При действии оснований на первичные и вторичные нитросоединения образуются соли нитросоединений; амбидентные анионы солей в р-циях с электрофилами способны давать как О-, так и С-производ-ные. Так, при алкилировании солей нитросоединений алкилгалогенидами, триалкилхлорсиланами или R3O+BF-4 образуются продукты О-алкилирования. Последние м.б. получены также при действии диазометана либо N,О-бис-(триметилсилил)аце-тамида на нитроалканы с рКа < 3 или нитроновые к-ты, напр.:

Ациклич. алкиловые эфиры нитроновых к-т термически нестабильны и распадаются по внутримол. механизму:
; эту
р-цию можно использовать для получения карбонильных соединений. Более стабильны силиловые эфиры. Об образовании продуктов С-алкилирования см. ниже.
Для нитросоединений характерны р-ции с разрывом связи С—N, по связям N=O, O=N
О, C=N -> О и р-ции с сохранением группы NO2.
Р-ц и и с р а з р ы в о м с в я з и С—N. Первичные и вторичные нитросоединения при нагр. с минер. к-тами в присут. спиртового или водного р-ра щелочи образуют карбонильные соед. (см. Нефа реакция). Р-ция проходит через промежут. образование нитроновых к-т:

В качестве исходных соед. можно использовать силиловые нитроновые эфиры. Действие сильных к-т на алифатические нитросоединения может приводить к гидроксамовым к-там, напр.:

Метод используют в пром-сти для синтеза СН3СООН и гидроксиламина из нитроэтана. Ароматические нитросоединения инертны к действию сильных к-т.
При действии восстановителей (напр., TiCl3-H2O, VCl2-Н2О-ДМФА) на нитросоединения или окислителей (KMnO4-MgSO4, O3) на соли нитросоединений образуются кетоны и альдегиды.
Алифатические нитросоединения, содержащие подвижный атом Н в b-положении к группе NO2, при действии оснований легко элиминируют ее в виде HNO2 с образованием олефинов. Аналогично протекает термич. разложение нитроалканов при т-рах выше 450°. Вицинальные динитросоед. при обработке амальгамой Са в гексамстаноле отщепляют обе группы NO2, Ag-соли непредельных нитросоединений при потере групп NO2 способны димеризоваться:

Нуклеоф. замещение группы NO2 не характерно для нитроалканов, однако при действии тиолат-ионов на третичные нитроалканы в апротонных р-рителях группа NO2 замещается на атом водорода. Р-ция протекает по анион-радикальному механизму. В алифатич. и гетероциклич. соед. группа NO2 при кратной связи относительно легко замещается на нуклеофил, напр.:

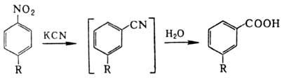
В ароматич. соед. нуклеоф. замещение группы NO2 зависит от ее положения по отношению к др. заместителям: группа NO2, находящаяся в мета-положении по отношению к электроноакцепторным заместителям и в орто- и пара-положениях к электронодонорным, обладает низкой реакц. способностью; реакц. способность группы NO2, находящейся в орто- и пара-положениях к электроноакцепторным заместителям, заметно увеличивается. В нек-рых случаях заместитель вступает в орто-положение к уходящей группе NO2 (напр., при нагр. ароматических нитросоединений со спиртовым р-ром KCN, р-ция Рихтера):

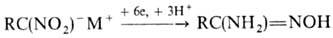
Р-ц и и п о с в я з и N = O. Одна из важнейших р-ций-вос-становление, приводящее в общем случае к набору продуктов:

Азокси-(II), азо-(III) и гидразосоед. (IV) образуются в щелочной среде в результате конденсации промежуточно возникающих нитрозосоед. с аминами и гидроксиламинами. Проведение процесса в кислой среде исключает образование этих в-в. Нитрозосоед. восстанавливаются быстрее, чем соответствующие нитросоединения, и выделить их из реакц. смеси, как правило, не удается. Алифатические нитросоединения восстанавливаются в азокси- или азосоединения при действии алкоголятов Na, ароматические-при действии NaBH4, обработка последних LiAlH4 приводит к азосоединениям. Электрохим. восстановление ароматических нитросоединений при определенных условиях позволяет получить любое из представленных производных (за исключением нитрозосоед.); этим же методом удобно получать гидроксиламины из мононитроалканов и амидоксимы из солей гем-динитроалканов:

Известно много методов восстановления нитросоединений до аминов. Широко используют железные опилки, Sn и Zn в присут. к-т; при каталитич. гидрировании в качестве катализаторов используют Ni-Ренея, Pd/C или Pd/PbCO3 и др. Алифатические нитросоединения легко восстанавливаются до аминов LiAlH4 и NaBH4 в присут. Pd, амальгамами Na и Аl, при нагр. с гидразином над Pd/C; для ароматических нитросоединений иногда применяют ТlСl3, СrСl2 и SnCl2, ароматич. поли-нитросоединения избирательно восстанавливаются до нитраминов гидросульфидом Na в СН3ОН. Существуют способы избират. восстановления группы NO2 в полифункциональных нитросоединениях без затрагивания др. ф-ций.
При действии Р(III) на ароматические нитросоединения происходит последоват. дезоксигенирование группы NO2 с образованием высокореакционноспособных нитренов. Р-цию используют для синтеза конденсир. гетероциклов, напр.:

В этих же условиях силиловые эфиры нитроновых к-т трансформируются в силильные производные оксимов. Обработка первичных нитроалканов РСl3 в пиридине или NaBH2S приводит к нитрилам. Ароматические нитросоединения, содержащие в орто-положении заместитель с двойной связью или циклопропильный заместитель, в кислой среде перегруппировываются в о-нитрозокетоны, напр.:

Нитросоединения и нитроновые эфиры реагируют с избытком реактива Гриньяра, давая производные гидроксиламина:

Р-ции по связям O = N
О и C = N
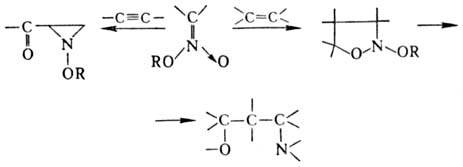
О. Нитросоединения вступают в р-ции 1,3-диполярного циклоприсоединения, напр.:

Наиб. легко эта р-ция протекает между нитроновыми эфира-ми и олефинами или ацетиленами. В продуктах циклоприсоединения (моно- и бициклич. диалкоксиаминах) под действием нуклеоф. и электроф. реагентов связи N — О легко расщепляются, что приводит к разл. алифатич. и гетеро-циклич. соед.:

В препаративных целях в р-ции используют стабильные силиловые нитроновые эфиры.
Р-ц и и с с о х р а н е н и е м г р у п п ы NO2. Алифатические нитросоединения, содержащие a-Н-атом, легко алкилируются и ацилируются с образованием, как правило, О-производных. Однако взаи-мод. дилитиевых солей первичных нитросоединений с алкилгалогенидами, ангидридами или галогенангидридами карбоновых к-т приводит к продуктам С-алкилирования или С-ацилирования, напр.:

Известны примеры внутримол. С-алкилирования, напр.:

Первичные и вторичные нитросоединения реагируют с алифатич. аминами и СН2О с образованием р-аминопроизводных (р-ция Манниха); в р-ции можно использовать предварительно полученные метилольные производные нитросоединений или аминосоед.:

Нитрометан и нитроэтан могут конденсироваться с двумя молекулами метилоламина, а высшие нитроалканы- только с одной. При определенных соотношениях реагентов р-ция может приводить к гетероциклич. соед., напр.: при взаимод. первичного нитроалкана с двумя эквивалентами первичного амина и избытком формальдегида образуются соед. ф-лы V, если реагенты берут в соотношении 1:1:3-соед. ф-лы VI.

Ароматические нитросоединения легко вступают в р-ции нуклеоф. замещения и значительно труднее-в р-ции электроф. замещения; при этом нуклеофил на правляется в орто- и пора-поло жения, а электрофил-в мета-положение к группе NO2. Константа скорости электроф. нитрования нитробензола на 5-7 порядков меньше, чем бензола; при этом образуется м-динитробензол.
Активирующее влияние группы NO2 на нуклеоф. замещение (особенно по орто-положению) широко используют в орг. синтезе и пром-сти. Р-ция протекает по схеме присоединение-отщепление с промежут. образованием s-комплек-са (комплекс Майзенхаймера). По этой схеме атомы галогенов легко замещаются на нуклеофилы:

Известны примеры замещения по анион-радикальному механизму с захватом электрона ароматич. соединением и выбросом галогенид-иона или др. групп, напр. алкокси, амино, сульфатной, NO-2. В последнем случае р-ция проходит тем легче, чем больше отклонение группы NO2 от копланарности, напр.: в 2,3-динитротолуоле замещается в осн. группа NO2 в положении 2. Атом Н в ароматических нитросоединениях также способен к нуклеоф. замещению-нитробензол при нагр. с NaOH образует o-нитрофенол.
Нитрогруппа облегчает перегруппировки ароматич. соед. по механизму внутримол. нуклеоф. замещения или через стадию образования карбанионов (см. Смайлса перегруп-пировка).
Введение второй группы NO2 ускоряет нуклеоф. замещение. Нитросоединения в присут. оснований присоединяются к альдегидам и кетонам, давая нитроспирты (см. Анри реакции), первичные и вторичные нитросоединения-к соед., содержащим активир. двойную связь (р-ция Михаэля), напр.:

Первичные нитросоединения могут вступать в р-цию Михаэля со второй молекулой непредельного соед.; эту р-цию с послед. трансформацией группы NO 2 используют для синтеза поли-функцион. алифатич. соединений. Комбинация р-ций Анри и Михаэля приводит к 1,3-динитросоединениям, напр.:

К неактивир. двойной связи присоединяются лишь Hg-производные гем-ди- или тринитросоединений, а также IC(NO2)3 и C(NO2)4, при этом образуются продукты С- или О-алкилирования; последние могут вступать в р-цию цикло-присоединения со второй молекулой олефина:

Легко вступают в р-ции присоединения нитроолефины: с водой в слабокислой или слабощелочной среде с послед. ретрореакцией Анри они образуют карбонильные соед. и нитроалканы; с нитросоединениями, содержащими a-Н-атом,-поли-нитросоединения; присоединяют и др. СН-кислоты, такие, как ацетилацетон, эфиры ацетоуксусной и малоновой к-т, реактивы Гриньяра, а также нуклеофилы типа OR-, NR-2 и др., напр.:

Нитроолефины могут выступать в роли диенофилов или диполярофилов в р-циях диенового синтеза и циклоприсое-динения, а 1,4-динитродиены-в роли диеновых компонентов, напр.:

Нитрозирование первичных нитросоединений приводит к нитроловым к-там RC(=NOH)NO2, вторичные нитросоединения образуют псевдо-нитролы RR'C(NO)NO2, третичные нитросоединения в р-цию не вступают.
Нитроалканы легко галогенируются в присут. оснований с последоваг. замещением атомов Н при a-С-атоме:

При фотдхйм. хлорировании замещаются более удаленные атомы Н:

При карбоксилировании первичных нитроалканов действием CH3OMgOCOOCH3 образуются a-нитрокарбоновые к-ты или их эфиры.
При обработке солей моно-нитросоединений C(NO2)4., нитритами Ag или щелочных металлов либо при действии нитритов на a-гало-геннитроалканы в щелочной среде (р-ция Тер Меера) образуются гем-динитросоединения. Электролиз a-галоген-нитроалканов в апротонных р-рителях, а также обработка нитросоединений Сl2 в щелочной среде или электроокисление солей нитросоединений приводят к виц-динитросоединениям:

Нитрогруппа не оказывает существ. влияния на свободно-радикальное алкилирование или арилирование ароматич. соед.; р-ция приводит в осн. к орто- и пара-замещенным продуктам.
Для восстановления нитросоединений без затрагивания группы NO2 применяют NaBH4, LiAlH4 при низких т-рах или р-р дибора-на в ТГФ, напр.:

Ароматич. ди- и три-нитросоединения, в частности 1,3,5-тринитробен-зол, образуют устойчивые ярко окрашенные кристаллич. мол. комплексы с ароматич. соед.-донорами электронов (аминами, фенолами и др.). Комплексы с пикриновой к-той используют для выделения и очистки ароматич. углеводородов. Взаимод. ди- и тринитробензолов с сильными основаниями (НО-, RO-, N-3, RSO-2, CN-, алифатич. аминами) приводит к образованию комплексов Майзен-хаймера, к-рые выделяют в виде окрашенных солей щелочных металлов.
Получение. В пром-сти низшие нитроалканы получают жидкофазным (р-ция Коновалова) или парофазным (метод Хэсса) нитрованием смеси этана, пропана и бутана, выделяемых из природного газа или полученных переработкой нефти (см. Нитрование). Таким методом получают и высшие нитросоединения, напр. нитроциклогексан - полупродукт в произ-ве капролактама.
В лаборатории для получения нитроалканов применяют нитрование азотной к-той соед. с активир. метиленовой группой; удобный метод синтеза первичных нитроалканов -нитрование 1,3-индандиона с послед. щелочным гидролизом a-нитрокетона:

Алифатические нитросоединения получают также взаимод. AgNO2 с алкилгалогенидами или NaNO2 с эфирами a-галогенкарбо-новых к-т (см. Мейера реакция). Алифатические нитросоединения образуются при окислении аминов и оксимов; окисление оксимов -способ получения гем-ди- и гем-тринитросоединений, напр.:

Нитроалканы м.б. получены нагреванием ацилнитратов до 200 °С.
Мн. методы синтеза нитросоединений базируются на нитровании олефи-нов оксидами азота, HNO3, солями нитрония, NO2Cl, орг. нитратами и т.п. Как правило, при этом получают смесь виц-динитросоединений, нитронитратов, нитронитритов, непредельных нитросоединений, а также продуктов сопряженного присоединения группы NO 2 и молекулы р-рителя или продуктов их гидролиза, напр.:

a,w-Динитроалканы получают действием алкилнитратов на циклич. кетоны с послед. гидролизом солей a,a'-динитро-кетонов:

Поли-нитросоединения синтезируют деструктивным нитрованием разл. орг. соед.; напр., три- и тетранитрометан получают при действии HNO3 на ацетилен в присут. ионов Hg(II).
Осн. метод получения ароматических нитросоединений-электроф. нитрование. Активная нитрующая группа-ион нитрония NO2, генерируемый из HNO3 при действии сильных протонных или апротонных к-т. Для нитрования в мягких условиях используют соли нитрония (NO2BF4, NO2ClO4 и т.п.), а также N2O5 в инертных р-рителях.
В пром-сти для нитрования ароматич. соед. используют, как правило, нитрующие смеси (H2SO4 + HNO3). В лаборатории для повышения концентрации иона нитрония вместо H2SO4 применяют АlСl3, SiCl4, BF3 и т.п., часто нитрование проводят в инертных р-рителях (СН3СООН, сульфолан, нитрометан и т.п.). Легко заменяются на группу NO2 сульфо- и диазогруппы. Для введения в нитробензол второй группы NO 2 в орто- и пара-положения вначале получают соответствующее диазопроизводное, а затем замещают диазогруппу по р-ции Зандмейера. Ароматические нитросоединения получают также окислением нитрозо-, диазо- и аминогрупп.
Применение. Поли-нитросоединения, особенно ароматические, применяют в качестве взрывчатых веществ и в меньшей степени как компоненты ракетных топлив. Алифатические нитросоединения используют как р-рители в лакокрасочной пром-сти и в произ-ве полимеров, в частности эфиров целлюлозы; для очистки минер. масел; депарафинизации нефти и др.
Ряд нитросоединений находят применение в качестве биологически активных в-в. Так, эфиры фосфорной к-ты, содержащие нитроарильный фрагмент,-инсектициды; производные 2-нитро-1,3-пропандиола и 2-нитростирола - фунгициды; производные 2,4-динитрофенола - гербициды; a-нитрофураны -важнейшие антибактериальные препараты, на их основе созданы лекарства, обладающие широким спектром действия (фуразолидин и др.). Нек-рые ароматические нитросоединения-душистые в-ва.
Нитросоединения- полупродукты в произ-ве синтетич. красителей, полимеров, моющих препаратов и ингибиторов коррозии; смачивающих, эмульгирующих, диспергирующих и флотац. агентов; пластификаторов и модификаторов полимеров, пигментов и пр. Они находят широкое применение в орг. синтезе и в качестве модельных соед. в теоретич. орг. химии.
Нитропарафины обладают сильным местным раздражающим действием и являются относительно токсичными в-вами. Относятся к клеточным ядам общего действия, особенно опасны для печени. ЛД50 0,25-1,0 г/кг (при пер-оральном введении). Хлорированные и непредельные нитросоединения в 5-10 раз токсичнее. Ароматические нитросоединения угнетают нервную и особенно кровеносную систему, нарушая снабжение организма кислородом. Признаки отравления - гиперемия, по-выш. выделение слизи, слезотечение, кашель, головокружение, головная боль. Ср-ва первой помощи-хинин и кислород. Метаболизм нитросоединений связан с окислит.-восстановит. р-циями и, в частности, с окислит. фосфорилированием. Напр., 2,4-динитрофенол - один из наиб. мощных реагентов, разобщающих процессы окисления и фосфорилирования, что препятствует образованию АТФ в клетке.
В мире производится несколько сотен различных нитросоединений. Объем произ-ва важнейших алифатических нитросоединений-десятки тыс. т, ароматических-сотни тыс. т; напр., в США производится 50 тыс. т/год нитроалканов С1-С3 и 250 тыс. т/год нитробензола.
См. также м-Динитробензол, Нитроанизолы, Нитробензол, Нитрометап, Нитротолуолы и др.
Лит.: Химия нитро- и нитрозогрупп, под ред. Г. Фойера, пер. с англ., т. 1-2, М., 1972-73; Химия алифатических и алициклических нитросоединений, М., 1974; Общая органическая химия, пер. с англ., т. 3, М., 1982, с. 399-439; Тартаковский В. А., "Изв. АН СССР. Сер. хим.", 1984, № 1, с. 165-73.
В. А. Тартаковский.