Азоксисоединения

АЗОКСИСОЕДИНЕНИЯ, имеют общую формулу
1009-11.jpg

где R и R' - opг. радикалы. Существуют в виде двух изомеров:
1009-12.jpg

цис-Изомер транс-Изомер

циc-Изомеры менее устойчивы и при нагр. переходят в транс-форму. Для несимметричных азоксисоединений возможна изомерия положения: R1009-13.jpg(O~)=NR' и RN=1009-14.jpg(O~)R'.

Хорошо изучены лишь ароматич. азоксисоединения - обычно желтые кристаллы нейтрального характера. Простейший представитель-аз о к си бензол (R = R' = С6Н5): т. пл. 36 °С; d420 1,246; nD201,6644; раств. в спирте (17,5 г в 100 г при 16СС), эфире, лигроине.

В ИК-спектрах азоксисоединений имеется сильная полоса валентных колебаний N—О при частотах 1310-1250 см -1, в электронных спектрах алифатич. азоксисоединений - полоса1009-15.jpg -перехода средней интенсивности в области 220 нм и малоинтенсивная полоса п1009-16.jpg-перехода в области 250-290 нм. Сопряжение с ароматич. кольцами сдвигает полосы поглощения ароматич. азоксисоединений в длинноволновую область, причем полосы и1009-17.jpg-переходов обычно перекрываются более интенсивными полосами1009-18.jpg-переходов.

В мягких условиях, а также электрохимически азоксисоединения восстанавливаются в азосоединения RN—NR', в более жестких условиях [напр., действием (МН4)25] - в гидразосоединения RHN—NHR' и далее с расщеплением связи N—N в первичные амины RNH2 и R'NH2. Азоксисоединения способны к электроф. замещению, напр.: С6Н51009-19.jpg(O-)=NC6H5 + Вr+1009-21.jpg С6Н51009-22.jpg(O-)=NC6H4Br + H + . Электрофил вступает в ядро, связанное с атомом N, несущим неподеленную пару
1009-23.jpg

электронов. Поэтому, напр., изомер ф-лы I бромируется (1009-24.jpg создает повыш. электронную плотность в ядре и свободно наиб. выгодное пара-положение), а изомер ф-лы II-нет. При нагр. в кислой среде ароматич. азоксисоединения претерпевают термич. перегруппировку с образованием и-гидроксиазосоединений (перегруппировка Валлаха): С6Н51009-25.jpg(—O-)=МС6Н51009-26.jpg n-HOC6H4N=NC6H5, а при облучении ртутной лампой-перегруппировку с образованием о-гидроксиазосоединений, напр.:
1009-27.jpg

Азоксисоединения получают: окислением азосоединений в мягких условиях, напр, под действием H2O2:RN=NR + [О]1009-28.jpg + R1009-29.jpg(—O~)=NR (в случае несимметричных азосоединений образуется смесь изомеров положения); восстановлением нитросоединений в щелочной среде действием CH3ONa, As2O3 или др.:
1009-30.jpg

взаимод. нитрозосоединений с замещенными гидроксиламина по схеме предыдущего способа (в случае разл. R образуются изомеры положения).

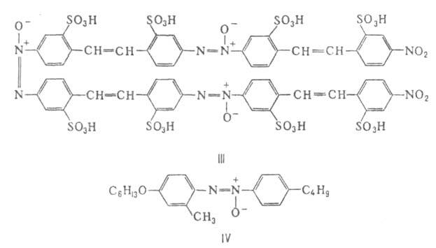
Нек-рые ароматич. азоксисоединения применяют как красители, напр. прямой желтый К. (ф-ла III), а также как активные компоненты жидких кристаллов, напр. соед. ф-лы IV:
1009-31.jpg

Литература

Общая органическая химия, пер. с англ., т. 3, М., 1982, с. 207 и посл. Б. И. Степанов.