Валлаха перегруппировка

ВАЛЛАХА ПЕРЕГРУППИРОВКА, изомеризация азоксибензолов в n-гидроксиазобензолы под действием сильных к-т, напр.:
1067-51.jpg

В присут. H2SO4 (наиб. распространенный катализатор) процесс идет при нагр., в присут. НSО3С1 - при 0°С. Электроноакцепторные заместители препятствуют р-ции. Предполагают, что механизм Валлаха перегруппировки включает нуклеоф. атаку пара-положения молекулы гидроксильной группой:
1067-52.jpg

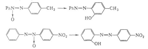
Побочные процессы - образование орто-изомера, причем в зависимости от характера заместителя гидроксигруппа может находиться в замещенном или в незамещенном кольце, напр.:
1067-53.jpg

Образование о-изомера становится преобладающим в присут. ангидрида карбоновой к-ты и при нагр. (ок. 250 °С) или УФ-облучении. Комплексы SbCl5 с азоксибензолом или его производными, содержащими в одном или обоих кольцах атомы С1, Вr, группу СН3 или NO2, претерпевают при нагр. селективную перегруппировку с образованием о-гидроксиазобензолов (т. наз. opmo-перегруппировка Валлаха).

Перегруппировка открыта О. Валлахом в 1880.

Литература

Сох R., Buneel E., в кн.: The chemistry of the hydrazo, azoxy and azo groups, ed. by S. Patai, pt. 2, L., 1975, p. 808-35; YamamotoJ. [a.o.], "Tetrahedron", 1980, v. 36, № 22, p. 3177-80. K.B. Вацуро.

Комментарии*

Дополнения к описанию Валлаха перегруппировки:

  • Механизм: Современные представления описывают механизм как [3,5]-сигматропную перегруппировку, которая протекает через циклическое переходное состояние. Протон азоксигруппы катализирует процесс, делая перегруппировку внутримолекулярной.
  • Стереохимия: Перегруппировка является стереоспецифической и протекает с сохранением конфигурации. Это было подтверждено использованием хиральных азоксисоединений.
  • Применение: Реакция является классическим методом в органическом синтезе для получения орто- и пара-замещенных фенолов и азосоединений, которые используются в качестве красителей и промежуточных продуктов в фармацевтике.
  • Орто-перегруппировка: Помимо кислотного катализа, ortho-перегруппировка также эффективно индуцируется координацией с кислотами Льюиса (например, SbCl₅), что позволяет селективно получать орто-изомеры.
*Подобраны с помощью LLM, верифицированы, но возможны неточности.
Синонимы/примеры:* Перегруппировка Валлаха; Перегруппировка Валлаха — Лейкарта
*подобраны ИИ, возможны неточности