Перегруппировки молекулярные
Перегруппировки молекулярные, перестройка атомного скелета молекул или изменение местоположения функциональных групп. Например, циклобутен превращается при нагревании в более стабильный бутадиен:

При взаимодействии олефинов, содержащих концевую двойную связь, с кислотами часто происходит сдвиг двойной связи к середине углеродной цепи:

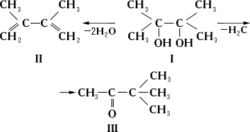
Нормальное отщепление воды от пинакона (1) при нагревании его с разбавленными минеральными кислотами или кислыми солями, приводящее главным образом к 2,3-диметилбутадиену-1,3 (II), сопровождается образованием пинаколина (III) — кетона с иным углеродным скелетом, чем у I. При действии на пинакон крепкой H2SO4 или ZnCl2 образуется только пинаколин:

При взаимодействии аллилгалогенидов с нуклеофильными реагентами, помимо нормального замещения, когда остаток нуклеофила присоединяется к атому углерода, с которым до этого был связан атом галогена, происходит и др. процесс: остаток нуклеофила присоединяется к «аллильному» атому углерода, а двойная связь перемещается (так называемое замещение с аллильной перегруппировкой):

Изучение перегруппировок молекулярных имеет большое значение для установления механизмов химических реакций и осуществления направленного органического синтеза. Многие перегруппировки молекулярные используются в промышленно важных процессах, таких как изомеризация углеводородов нефти для получения высокооктанового моторного топлива, превращение цикло-гексаноноксима в капролактам, синтезы полупродуктов и красителей и т. д. См. Арбузова реакция, Бекмана перегруппировка, Бензидиновая перегруппировка, Гофмана реакции, Демьянова перегруппировка, Камфеновые перегруппировки, Пинаколиновая перегруппировка.
Лит.: Сайке П., Механизмы реакций в органической химии, пер. с англ., 2 изд., М., 1973.
Б. Л. Дяткин.