Пинаколиновая перегруппировка
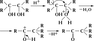
Пинаколиновая перегруппировка, образование кетонов — пинаколинов — при действии кислот (HCI, H2SO4), а также ZnCl2 на пинаконы; при этом происходит дегидратация, сопровождающаяся изменением скелета молекулы — миграцией одного из заместителей к соседнему углеродному атому. Отход гидроксильной группы и перемещение заместителя происходят синхронно (R — органический радикал):

Обратная перестройка скелета называется ретропинаколиновой перегруппировкой; механизм ее сходен с механизмом пинаколиновой перегруппировки. Примером может служить образование тетраметилэтилена при дегидратации пинаколинового спирта в присутствии минеральных кислот:

Метод получения пинаколина из простейшего пинакона — тетраметилэтиленгликоля (СНз)2С (ОН) С (ОН)(СНз)2 используется в промышленности; процессы типа ретропинаколиновой перегруппировки происходят при крекинге высших олефинов. См. также Перегруппировки молекулярные.
Б. Л. Дяткин.
Дополнения к описанию: