Аллильная перегруппировка

АЛЛИЛЬНАЯ ПЕРЕГРУППИРОВКА, изомеризация ненасыщ. соед. со сдвигом двойной связи из положения 1 в положение 2 при одновременной миграции атома или группы атомов X от третьего углеродного атома (аллильное положение) к первому:
1019-3.jpg

Прототропная аллильная перегруппировка (X = Н) известна для углеводородов, карбонильных соед., нитрилов и др. Возможные ее механизмы при кислотном и основном катализе:
1019-4.jpg

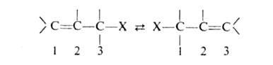
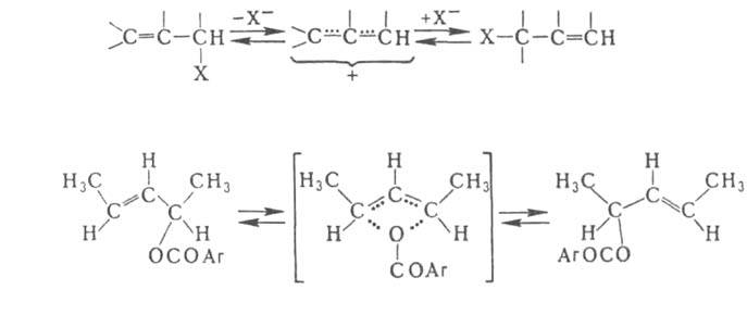
Для анионотропной аллильной перегруппировки (Х-Hal, НО, RO или др.) типичны след. механизмы:
1019-5.jpg

В сопряженных диенах перегруппировка, аналогичная аллильной, происходит с участием обеих двойных связей:
1019-6.jpg

Аллильная перегруппировка часто наблюдается при аллилъном замещении. С ее помощью из аллилгалогенидов получают изомерные спирты, сложные или простые эфиры. В препаративных целях используют перегруппировку третичных спиртов в первичные через их ацетаты, например в синтезе гераниола, фарнезола и фитола. О перманентной аллильной перегруппировки см. Аллилбораны.

Литература

Темникова Т. И., Семенова С. Н.. Молекулярные перегруппировки в органической химии, Л., 1983. Г. В. Крышталь.

Комментарии*

Дополнения к описанию аллильной перегруппировки:

  • Механизмы прототропной перегруппировки включают синхронный [3,3]-сигматропный сдвиг (для Cope-перегруппировки) или постадийные процессы через карбкатионные, карбанионные или радикальные интермедиаты
  • Специфические примеры аллильной перегруппировки:
    • Перегруппировка Кляйзена для аллиловых эфиров фенолов
    • Перегруппировка Кэррола в синтезе γ,δ-ненасыщенных кетонов
    • Перегруппировка аллиловых спиртов в карбонильные соединения
  • Стереохимические особенности - перегруппировка часто протекает с высокой стереоселективностью, сохраняя или инвертируя конфигурацию
  • Современное применение в синтезе природных соединений, фармацевтических препаратов и тонких химикатов
  • Каталитические системы - кроме кислотного и основного катализа, используются переходные металлы (Pd, Pt, Rh) для активации аллильных систем
*Подобраны с помощью LLM, верифицированы, но возможны неточности.