Аллилбораны
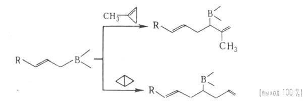
АЛЛИЛБОРАНЫ, соединения В(III) общей ф-лы I.
В аллилборанах имеется 5 реакционных центров: электроф. атом В, связи В—С, Са—Н, С=С, В—R или В—R' (R, R'-OAlk, Alk, NAlk2 и т.д.). Взаимное влияние атома В и двойной связи отчетливо проявляется в р-циях с участием бор-аллильной системы в целом. Прочность связи В—С в них меньше, чем в алкилборанах (соотв. ~ 285 и ~ 350 кДж/моль).
Различают симметричные (напр., триаллилборан, трикротилборан) и несимметричные, или смешанные, аллилбораны. К последним относятся, в частности, аллил(диалкил)бораны, диаллил(алкил)бораны, аллил(диалкокси)бораны, три-В-аллилборазол, а также циклим. Аллилбораны и соед. типа R'XCH=CHCH2BR2, где R = OAlk, SAlk, NAlk2 и R' = Alk, X = О, S.
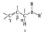
Аллилбораны получают переметаллированием, гидроборированием нек-рых алленов, 1,3-диенов, пропаргилгалогенидов и др. методами, напр.:
где М = Li, Mg, Al; X = F, Cl, OR; R = H, Alk, Ar, циклоалкил; R' = Alk, Ar, OAlk, NAlk2.
Аллилбораны легко окисляются и гидролизуются на воздухе, низшие члены ряда самовоспламеняются. Большинство аллилборанов расщепляется водой, спиртами, р-рами щелочей и к-т с образованием соответствующих олефинов.
Аллилбораны - более сильные к-ты Льюиса, чем их алкильные аналоги; они образуют комплексы с аминами, нек-рыми эфи-
рами, сульфидами, фосфинами. При действии RLi получаются бораты
. Комплексообразование - первый акт р-ций аллилборанов с нуклеоф. реагентами (Н2О, ROH, RSH, R2NH, RCHO, RCN, RC=CH и др.).
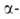
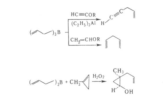
Связь В—С разрывается (без перегруппировки) при взаи-мод. аллилборанов с Н2О2 (синтез аллильных спиртов), N2CHCOOR' (синтез эфиров RCH=CHCH2CH2COOR'), циклопропенами или бициклобутаном:
К р-циям аллилборанов по двойной связи относятся полимеризация, диеновая конденсация, гидрирование, присоединение меркаптанов, Вr2, гидридов Ge, Si и В, напр.:
где X = Н, RS, R3Si, R3Ge, R2B.
По связи
—Н, активированной бором, идет металлирование (обычно 2,2,5,5-тетраметилпиперидиллитием с послед. алкилированием).
В смешанных аллилборанах со связью В—XR (X = О, S и др.) легко обменивается заместитель XR.
Все р-ции с участием бор-аллильной системы сопровождаются аллильной перегруппировкой. К ним относятся: 1. Протолитич. расщепление водой, спиртами, аминами, меркаптанами, карбоновыми к-тами; используется для синтеза
олефинов через аллилбораны. 2. Аллилборирование альдегидов, кетонов, сложных эфиров, хинонов, нитрилов, иминов, виниловых эфиров, циклопропенов и ацетиленов; при этом В локализуется у нуклеоф. центра кратной связи, а аллильная группа-у электрофильного:
где НХ = Н2О, ROH, RNH2 и др.; A=Y = С=О, С
N, C=N, C=C, С
С или циклопропан.
Аллилборирование применяется для получения гомоаллильных спиртов и аминов, 1,4-диенов, аллилацетиленов и др., напр.: 
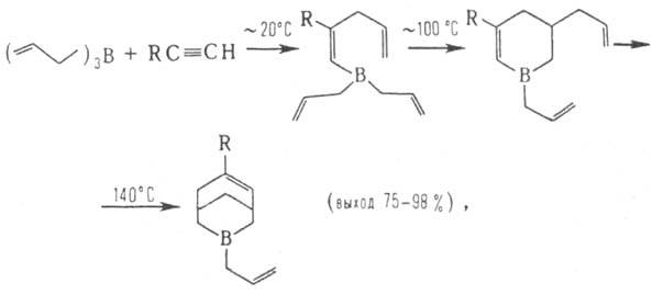
Важнейшая р-ция триаллилборана и его гомологов (триметаллилборана и др.)-аллилбор-ацетиленовая конденсация, приводящая к соединениям ряда 3-борабицикло[3.3.1]-нон-6-ена:
где R = Н, D, Alk, Ar и др.
При взаимод. триаллилборана с алленом получается 3-аллил-7-метилен-3-борабицикло[3.3.1]нонан, из к-рого был впервые синтезирован 1-бораадамантан:
3. Изомеризация
замещенных аллилборанов в термодинамически более устойчивые изомеры, в к-рых В присоединен к менее замещенному атому С; напр.:
4. Внутримол. перманентная аллильная перегруппировка (ПАП)-быстрая миграция В от С1 к С3 с одноврем. перемещением двойной связи:
где R-аллил, алкил. При 20 и 200 °С скорость ПАП в триаллилборане соотв. ~ 10 и ~ 104 с -1; энергия активации в зависимости от строения аллилборана варьирует от 21 до 63 кДж/моль. Комплексообразование с аминами, эфирами и сульфидами замедляет ПАП на 2-3 порядка, ПАП не имеет места в эфирах СН2—CHCH2B(OR)2, ангидриде [(СН2=СНСН2)2В]2О и их азотистых аналогах. Аллилбораны-промежуточные соед. в орг. синтезе.
Литература
Михайлов Б. М., Бубнов Ю.Н., Борорганические соединения в органическом синтезе, М., 1977; Пелтер А., Смит К., в кн.: Общая органическая химия, пер. с англ., т. 6, ч. 14, М., 1984, с. 233-537. Ю.Н.Бубнов.