Перегруппировки молекулярные
ПЕРЕГРУППИРОВКИ МОЛЕКУЛЯРНЫЕ, хим. р-ции, в результате к-рых происходит изменение взаимного расположения атомов в молекуле, места кратных связей и их кратности; могут осуществляться с сохранением атомного состава молекулы (изомеризация) или с его изменением.
Все перегруппировки молекулярные делятся на два осн. типа: 1) межмолекулярные, когда мигрирующая группа атомов или атом (сокращенно -группа) полностью отделяется от молекулы и может присоединяться к к.-л. атому др. такой же молекулы; 2) внутримолекулярные, когда мигрирующая группа переходит от одного атома к другому в одной и той же молекуле. Перегруппировки молекулярные, в результате к-рых образуются молекулы, идентичные исходным, наз. вырожденными.
Перегруппировки молекулярные, в ходе к-рых происходит внутримол. миграция группы со своей парой электронов к электронодефицитному центру, наз. нуклеофильными или анионотропными (р-ция 1), а при миграции к углеродному атому, содержащему неподеленную пару электронов,-электрофильными или ка-тионотропными (2), напр.:

Перегруппировки молекулярные с миграцией групп с неспаренным электроном относятся к свободнорадикальным.
Механизм нуклеофильных перегруппировок молекулярных включает три стадии: 1) образование системы с секстетом электронов (карбкатион или нитрен); 2) миграция группы (наиб. распространены 1,2-сдвиги, когда миграция идет к соседнему атому); 3) стабилизация молекулы путем взаимод. с нуклеофилом (перегруппировки молекулярные с замещением) или отщепление атома H или др. группы (перегруппировки молекулярные с элиминированием). Примеры нуклеофильных перегруппировок молекулярных - Вагнера -Mеервейна перегруппировка (3), пинаколиновая перегруппировка (4), Демьянова перегруппировка, Курциуса реакция:

Механизм электрофильных перегруппировок молекулярных (эти перегруппировки более редки) включает образование карбаниона (или др. отрицат. иона), к к-рому мигрирует группа без своих электронов (5):

Свободнорадикальные 1,2-перегруппировки осуществляются в результате генерирования своб. радикала, миграции группы с неспаренным электроном, стабилизации вновь образующегося своб. радикала. Мигрировать могут арильная- (6), винильная- или ацетоксигруппа, галогены (7), напр.:

Миграция галогена осуществляется через переходное состояние, в к-ром неспаренный электрон расположен на его вакантной d-орбитали. Важный тип перегруппировок составляют широко рас-пространенные электроциклические реакции (8) и сигматроп-ные перегруппировки (9), напр.:

Эти превращ. осуществляются как согласованные процессы и подчиняются Вудворда-Хофмана правилам.
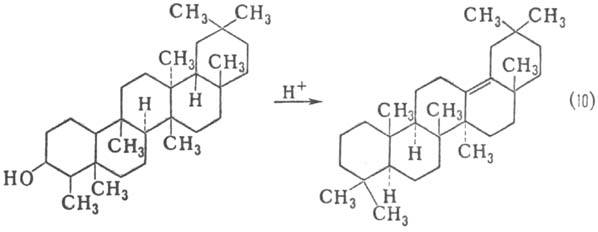
В нек-рых случаях в одной молекуле могут происходить одновременно или в быстрой последовательности неск. перегруппировок. Так, в кислой среде из тритерпена 3b-фриде-ланола в результате дегидратации и семи 1,2-сдвигов образуется 13(18)-олеанен (10):

Лит.: Темникова T. И., Семенова С. H., Молекулярные перегруппировки в органической химии, Л., 1983; Марч Дж., Органическая химия, пер. с англ., т. 4, M., 1988, с. 109-258; Mayo P. de (ed.), Rearrangements in ground and excited states, v. 1-3, N. Y., 1980. А. В. Анисимов.