Демьянова перегруппировка

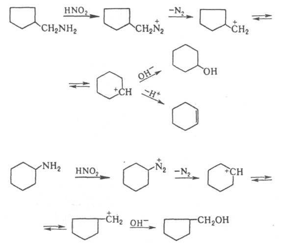
ДЕМЬЯНОВА ПЕРЕГРУППИРОВКА, расширение или сужение алициклов на один атом углерода при дезаминировании первичных аминов азотистой к-той. Расширение изучено для 3-8-членных циклов, сужение - для 4- и 6-членных, напр.:
001_020-88.jpg
Механизм р-ции включает образование карбениевых ионов. Подобно Демьянова перегруппировке осуществляется р-ция HNO2 с нек-рыми 5-членными азот-, кислород- или серосодержащими гетероциклич. аминами, напр.:
001_020-89.jpg
Демьянова перегруппировка родственна Тиффено реакции, в к-рой под действием HNO2 происходит превращение 1-аминометилциклоалкан-1-олов с расширением цикла. Демьянова перегруппировка применяется гл. обр. в синтезе полициклич. соединений. Открыта перегруппировка Н. Я. Демьяновым в 1903.
Литература
Смит П. А., Боер Д.Р., в кн.: Органические реакции, пер. с англ., сб. 11, М., 1965, с. 167-98. Н.В. Лукашов.

Комментарии*

Дополнения к описанию:

  • Механизм: Реакция протекает через образование диазониевого иона с последующей его диссоциацией с выделением азота и образованием карбкатиона. Далее карбкатион подвергается перегруппировке (расширяя или сужая цикл) с образованием более стабильного циклического карбкатиона, который затем захватывает нуклеофил (обычно воду) с образованием конечного продукта.
  • Современное применение: Хотя классическая перегруппировка Демьянова имеет историческое значение, в современном синтезе её использование ограничено из-за высокой реакционной природы промежуточных карбкатионов, что может приводить к смеси продуктов. Тем не менее, она остаёсь важным инструментом для лабораторного получения специфических карбо- и гетероциклических систем, демонстрируя фундаментальные принципы перегруппировок карбкатионов.
  • Родственные процессы: Является частным случаем более общего класса реакций — перегруппировок карбкатионов, индуцированных разрывом связи C-N (например, перегруппировка Вагнера-Меервейна).
*Подобраны с помощью LLM, верифицированы, но возможны неточности.