Ретроионилиденовая перегруппировка
РЕТРОИОНИЛИДЕНОВАЯ ПЕРЕГРУППИРОВКА, перемещение двойных связей, происходящее при дегидратации b-ионоловых спиртов, у к-рых двойная связь боковой цепи сопряжена с двойной связью кольца. В результате образуются соед. с т. наз. ретрорасположением двойных связей:

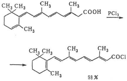
При синтезе витамина А ретроионилиденовая перегруппировка приводит к т. наз. соед. ретростроения, не обладающим биол. активностью. В связи с этим синтез витамина А проводят в условиях, исключающих ретроионилиденовую перегруппировку, либо превращают ретроионилиденовые структуры в ионилиденовые. Так, при обработке С15- и С20-кислот ретростроения (полупродукты при синтезе витамина А из b-ионона) особо очищенным РС13 происходит превращение, обратное ретроионилиденовой перегруппировке:

Такие же преобразования могут осуществляться под действием кислых и основных реагентов. Ретроионилиденовая перегруппировка открыта У. Орешником и независимо X. Хьюсменом в 1952.
Лит.: Назаров И. Н., Яновская Л. А., "Успехи химии", 1958. т. 27, в. 3, с. 241 - 76. С. М. Лукьянов.
Дополнения к описанию: