Амадори перегруппировка

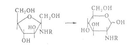
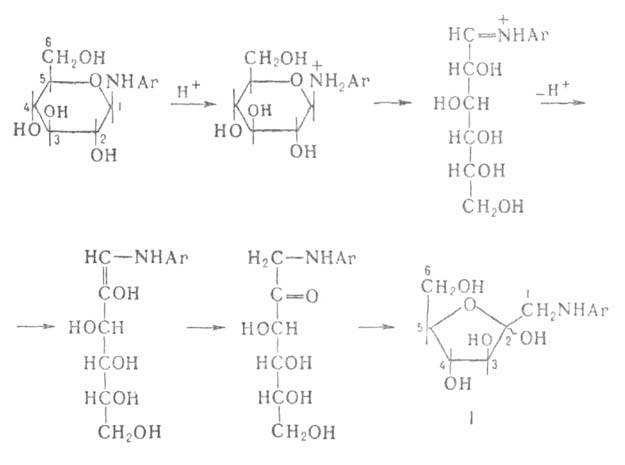
АМАДОРИ ПЕРЕГРУППИРОВКА, изомеризация N-гликозидов альдоз в 1-амино-1-дезоксикетозы (соед. Амадори) в условиях кислотного катализа (см. схему). Фуранозная форма (ф-ла I; знак ~ обозначает, что моносахарид м. б.1023-1.jpg или1023-2.jpgаномером) находится в равновесии с ациклич. и пиранозными формами углевода. Состав равновесной смеси зависит от заместителя в аминогруппе
1023-3.jpg

и характера р-рителя. Наиб. легко перегруппировываются производные первичных ароматич. аминов. Амадори перегруппировка описана также для производных первичных и вторичных алифатич. аминов (дибензиламина, пиперидина, морфолина и др.). Выходы 50-80%. Заместители, уменьшающие электронную плотность на атоме N, препятствуют изомеризации.

Перегруппировку, подобную Амадори перегруппировке, претерпевают шиффовы основания, получаемые из глицеринового альдегида:
1023-4.jpg

Амадори перегруппировку используют на одной из стадий пром. синтеза рибофлавина, а также в препаративных целях. Перегруппировка открыта М. Амадори в 1925.

N-Гликозиды кетоз в условиях кислотного катализа претерпевают изомеризацию в 2-амино-2-дезоксиальдозы по механизму, подобному Амадори перегруппировке (ретроперегруппировка Амадори, или перегруппировка Хайнса), напр.:
1023-5.jpg

Производные алифатических аминов изомеризуются часто самопроизвольно, производные ароматических аминов - при нагр. в среде, состоящей из смеси диоксана и карбоновой к-ты. Ретроперегруппировка открыта К. Хайнсом в 1959.

Перегруппировка и ретроперегруппировка Амадори -часть сложных взаимод. углеводных и белковых компонентов пищ. продуктов, происходящих при кулинарной обработке.

Литература

Степаненко Б. Н., Химия и биохимия углеводов (моносахариды),-М., 1977, с. 114-17; Pa u I sen H., Pflughaupt K.-W., в кн.: The Carbohydrates. Chemistry and biochemistry, 2 ed., v. 1 B, N. Y.-[a.o.], 1980, p. 881-927. K.B. Вацуро.