Нитрeны
НИТРEНЫ, нестабильные соед. одновалентного азота общей ф-лы
, где R-алкил, арил, гетарил, NR'2, OR', CN и др. Нитрены- высокореакц. промежут. частицы, являющиеся азотистыми аналогами карбенов. Как и в случае карбенов, для нитренов возможны синглетное и триплетное электронные состояния.
Для обнаружения и прямого изучения нитренов используют такие же физ.-хим. методы, как и для карбенов (флеш-фотолиз, матричная изоляция и др.).
Известны 2 осн. метода генерирования нитренов: термич. или фотохим. разложение азидов и нек-рых других соед.; a-эли-минирование при действии оснований на О-арилсульфонил-гидроксиламины (можно использовать и др. производные):

Для генерирования арил- и аминонитренов применяют также частичное восстановление нитро- и нитрозосоед. (чаще всего под действием R'3P), напр.:

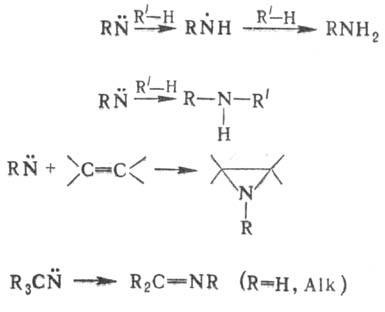
На хим. св-ва нитренов влияет их электронное состояние. Наиб. важные р-ции нитренов: отщепление атома водорода от др. субстратов с превращ. в амины (характерно для триплетных нитренов), внедрение по связи С—Н (характерно для синглетных нитренов), присоединение по кратным связям (для синглетных нитренов р-ция стереоспецифична), перегруппировки (напр., изомеризация в имины):

Среди нитренов выделяют аминонитрены (д и а э е н ы, 1,1-диазе-ны), обычно имеющие синглетное основное состояние
Нек-рые диазены, имеющие объемные заместители (напр., ди-трет-бутилдиазен), существуют в стабильном виде. Для генерирования диазенов кроме общих методов генерирования нитренов используют окисление [чаще всего под действием Рb(ОАс)4] гем-дизамещенного гидразина RR'NNH2, а также р-ции вторичных аминов с дифторамином NHF2 либо с HN=0, образующимся из соли Ангели NaON=NO2Na или N-фенилсульфонилгид-роксиламином HONHSO2C6H5. Для диазенов характерны легкое присоединение протона к нитреновому атому азота с образованием диазениевого катиона
, внутримол. перегруппировки (р-ция 1), расщепление с выбросом молекулы N2 (в отсутствие акцепторов) (2), а также ди-меризация с образованием симметричных тетразенов RR'N—N=N—NRR'.

Р-ции с участием нитренов используют в разл. синтезах, напр. для получения азиридинов.
Лит.: Иоффе Б. В., Семенов В. П., Оглоблин К. А., "Ж. Всес. хим. об-ва им. Д.И.Менделеева", 1974, т. 19, № 3, с. 314-24; Семенов В. П., Студеников А. Н., Оглоблин К.А., там же, 1979, т. 24, № 5, с. 485-95; Общая органическая химия, пер. с англ., т. 3, М-, 1982, с. 353-62; Суворов А. А., Кузнецов М. А., "Успехи химии", 1987, т. 56, в. 8, с. 1324-38; Кузнецов М, А., Иоффе Б. В., там же, 1989, т. 58, в. 8, с. 1271-97; Lwowski W., Nitrenes, N.Y., 1970. Л. Г. Менчиков.