Руле перегруппировка
РУЛЕ ПЕРЕГРУППИРОВКА, перегруппировка ацетиленовых спиртов общей ф-лы I в a,b-непредельные кетоны под действием кислотных агентов:

Р-цию обычно осуществляют кипячением в бензоле исходного спирта, НСООН или Р2О5. Кислотными агентами, вызывающими Руле перегруппировку, м..б. также СН3СОС1, SOC12, смесь H2SO4 с Н3РО4 или СН3СООН, катеониты в СН3СООН и др. В этих же условиях возможна перегруппировка с 1,3-сдвигом кислородной ф-ции с образованием a,b-ненасы-щенных альдегидов - т. наз. перегруппировка Мейера-Шустера:

Руле перегруппировка и Мейера - Шустера перегруппировка-обычно конкурирующие р-ции. Преимуществ. направление процесса в осн. определяется строением исходного спирта. Спирты, у к-рых R и R'-первичные или вторичные алифатич. радикалы, претерпевают преимущественно Руле перегруппировку; если же R и R'-ароматич. радикалы, то осуществляется Мейера - Шустера перегруппировка. Увеличение степени разветвленности радикалов R и R' благоприятствует Мейера - Шустера перегруппировке; вторичные ацетиленовые спирты с ароматич. радикалом также вступают в Мейера - Шустера перегруппировку.
Перегруппировку, аналогичную Руле перегруппировке, могут претерпевать и спирты общей ф-лы RR'C(OH)CH2C=CH, превращающиеся при этом в a,b-ненасыщ. кетоны (в нек-рых случаях наряду с кетонами образуются соответствующие ненасыщ. альдегиды).
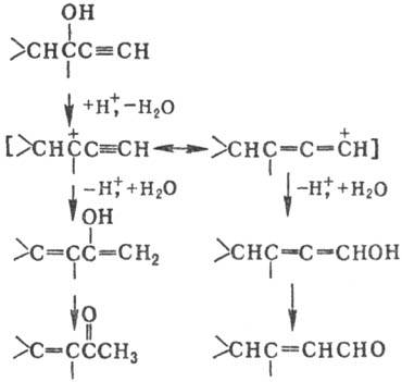
Принято считать, что Руле перегруппировка и Мейера - Шустера перегруппировка осуществляются по ионному механизму, согласно к-рому р-ция начинается с элиминирования группы ОН и образования карбкатиона:

Руле перегруппировку используют в пром. синтезе душистого в-ва аце-тилциклододецена. Она открыта в 1926 Г. Руле.
Лит · Арцыбашева Ю. П., Кочетов А. П., в кн.: Современные проблемы органической химии, [в. 1], Л., 1969, с. 241-53; Swaminathan S., Narayanan К. V., "Chem. Rev.", 1971, v. 71, № 5, p. 429-38. Л. А. Хейфиц.