Клайзена перегруппировка
КЛАЙЗЕНА ПЕРЕГРУППИРОВКА, миграция аллильной или замещенной аллильной группы в винилаллиловых или арилаллиловых эфирах с образованием С-аллильных производных, напр.:
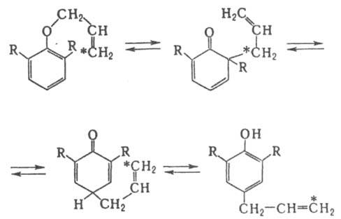
Процесс осуществляют нагреванием аллильного соед. в р-рителе (дифениловый эфир, диалкиламины и др.) или без него при т-ре 150-200 °С. В результате перегруппировки новая связь С—С образуется с участием терминального атома углерода аллильной группы (обозначен звездочкой). У арилаллиловых эфиров аллильная группа, как правило, мигрирует в opmo-положение; если оно занято, перегруппировка идет в пара-положение (Коупа перегруппировка):
В соед. ф-лы I связь С—С образуется с участием терминального атома С, не имеющего заместителя, в случае соед. II - с участием аллильного атома С:
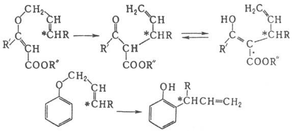
У эфиров, содержащих винильную группу и цикл с двойной связью в b-положении, Клайзена перегруппировка обычно идет с большой легкостью, напр.:
Клайзена перегруппировка осуществляется с пропаргил- или бензил виниловыми эфирами, а также в том случае, когда аллилоксигруппа связана с циклом, имеющим двойную связь в a-положении, напр.:
Клайзена перегруппировка-[3,3] - сигматропная перегруппировка. Относится к перициклич. р-циям, осуществляется внутримолекулярно через шести-p-электронное циклич. состояние и обладает высокой стереоселективностью. В перегруппировку, подобную Клайзена перегруппировке, вступают N-аллиленамины (аминоперегруппировка Клайзена), непредельные тиоэфиры (тиоперегруппировка Клайзена), а также аллилфосфиты. Клайзена перегруппировка - удобный метод синтеза замещенных фенолов и ненасыщ. карбонильных соед.; применяется в синтезе сквалена, ювенильных гормонов, нек-рых терпенов и др. Открыта Л. Клайзеном в 1912. Лит.. Общая органическая химия, пер. с англ., т. 2, М., 1982, с. 344-46; Тсмпикова Т И., Семенова С. Н., Молекулярные перегруппировки в органической химии. Л.. 1983, с. 41 Е Г Тер-Габриэлян.
Ещё по теме
Клайзена перегруппировка — суть и значение в химии
Молекулярные перегруппировки — механизмы и применение
Секстетные перегруппировки
Перегруппировка Ортона — особенности и механизм реакции
Пинаколиновая и ретропинаколиновая перегруппировки
Перегруппировки молекулярные
Стивенса перегруппировка — механизм и применение
Фриса перегруппировка — механизм и применение
Руле перегруппировка — механизм и условия реакции
Реакция Фаворского — перегруппировка галогенкетонов
Пинаколиновая перегруппировка — механизм и применение
Клайзена конденсация — способ получения органических соединений