Секстетные перегруппировки
СЕКСТЕТНЫЕ ПЕРЕГРУППИРОВКИ (от лат. sextus-шестой), изомеризации, протекающие с 1,2-миграцией атома Н, групп алкил, арил, ацил и др. к положительно заряженному или нейтральному атому С, N или О с шестью электронами, т.е. секстетом, на внеш. электронной оболочке. Секстетные перегруппировки могут происходить с участием соответствующих активных интермедиатов, содержащих
(Вагнера-Меервейна перегруппировки),
(Вольфа перегруппировка), =N+ (Бекмана перегруппировка, Шмидта реакция),
(Гофмана реакция, Курциуса реакция, Лоссена реакция), —О+(Байера-Виллигера реакция и др.).
Наиб. распространены перегруппировки Вагнера-Меер-вейна с 1,2-миграцией к атому С (карбениевому центру). Среди них-ацилоиновая (см. Ацилоины), Демьянова перегруппировка, Пинаколиновая и ретропинаколиновая перегруппировки, Рупе перегруппировка, Тиффено реакция и др.
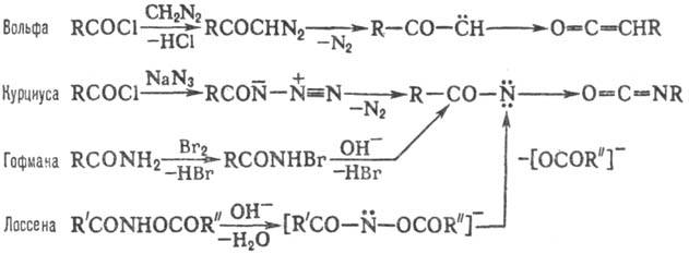
По сходным механизмам протекают перегруппировки Вольфа (см. также Арндта-Aйcmepma реакция)и Курциуса-с нуклеоф. 1,2-миграциями групп соотв. к двухкова-лентному нейтральному атому С и одноковалентному нейтральному атому N. Перегруппировки Гофмана и Лоссена отличаются от р-ции Курциуса способами генерирования нитреновой структуры; считают, что стадии этих изомеризации происходят согласованно. Примеры перегруппировок:

Кислотнокатализируемые перегруппировки Бекмана и Шмидта представляют собой разные способы превращения карбонильных соед. в амиды:

Подобно р-ции Шмидта протекает перегруппировка Байера-Виллигера, в к-рой участвуют ионы —О+.
Стереохим. исследованиями показано, что при секстетных перегруппировках конфигурация мигрирующего заместителя сохраняется, тогда как в начальном и конечном пунктах миграции преобладает инверсия.
Лит.: Иогольд К., Теоретические основы органической химии, пер. с англ., 2 изд., М., 1973, с. 600-56; Беккер Г., Введение в электронную теорию органических реакций, пер. с нем., М., 1977, с. 541-85. С.М. Лукьянов.