Гофмана реакции

ГОФМАНА РЕАКЦИИ. 1) Превращение амидов карбоновых к-т в первичные амины с элиминированием СО2, происходящее под действием гипогалогенитов щелочных металлов (перегруппировка Гофмана, расщепление амидов по Гофману):
1118-27.jpg

К водному щелочному р-ру гипогалогенита прибавляют амид: послед. нагревание до 40-80°С завершает р-цию. Для увеличения выхода аминов из амидов высших жирных к-т р-цию проводят в спиртовом р-ре. Образующиеся при этом уретаны легко гидролизуются в амины. Первая стадия Гофмана реакции-синтез N-галогенамида, образующего под действием щелочей нестойкую соль I:
1118-28.jpg

Стадия, определяющая скорость Гофмана реакции,-отщепление галогена с образованием нитрена II, к-рый стабилизируется перегруппировкой в изоцианат:
1118-29.jpg

Последний при взаимод. с Н2О через карбаминовую к-ту превращ. в амин:
1118-30.jpg

Установлено, что мигрирующая группа сохраняет конфигурацию. Нестойкий анион амида III может взаимод. с соед., содержащими электроф. кратные связи, напр.:
1118-31.jpg

Амиды1118-32.jpgгидроксикислот и1118-33.jpgненасыщенных к-т в условиях Гофмана реакции превращ. в альдегиды, амиды замещенных пропионовых к-т-в нитрилы, амиды1118-34.jpgациламинокислот - в ацилглиоксалидоны:
1118-35.jpg

С помощью Гофмана реакции можно получить с хорошими выходами алифатич., жирно-ароматич., ароматич. и гетероциклич. амины, диамины и аминокислоты; в пром-сти Гофмана реакция используется для синтеза антраниловой к-ты.

Р-ция открыта А. В. Гофманом в 1881.

2) Разложение четвертичных аммониевых оснований, имеющих в углеродной цепи атом Н в1118-36.jpgположении к атому N, на третичный амин, олефин и воду (гофмановское расщепление):
1118-37.jpg

Обычно проводят путем упаривания водного или спиртового р-ра гидроксида тетраалкиламмония (часто в вакууме) с постепенным повышением т-ры до 100-150 °С. Использование смеси безводных ДМСО и ТГФ позволяет снизить т-ру р-ции до комнатной. Если атом N связан с разл. алкильными заместителями, то в осн. образуется олефин с наименьшим числом алкильных групп у двойной связи (правило Гофмана), напр.:
1118-38.jpg

Заместители при1118-39.jpgуглеродном атоме, способные к сопряжению и повышающие кислотность1118-40.jpgводорода (напр., фенил), облегчают отщепление олефина. При наличии кратной связи в1118-41.jpgположении отщепляется1118-42.jpgатом водорода и происходит 1,4-элиминирование, напр.:
1118-43.jpg

В случае двух сопряженных связей в1118-44.jpgположении происходит 1,6-элиминирование и образуется триен, напр.:
1118-45.jpg

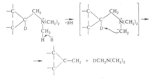
Гофмана реакция, как правило, протекает по механизму бимолекулярного элиминирования и стереоспецифична, в нек-рых случаях-по внутримолекулярному циклич. механизму, напр.:
1118-46.jpg

где В--основание.

Основные побочные процессы при Гофмана реакции-образование спиртов, а также простых эфиров, эпоксидов, производных ТГФ и циклопропана. В р-цию, подобную Гофмана реакции, вступают соли сульфония и фосфония, напр.:
1119-1.jpg

Гофмана реакцию применяют для синтеза непредельных соединений. Последовательное метилирование аминов и их расщепление (т. наз. исчерпывающее метилирование) используется для идентификации аминов.

Р-ция открыта А. В. Гофманом в 1851.

Литература

Коп А. К., Тумбулл Э. Р., в сб.: Органические реакции, пер. с англ., сб. 11, М., 1965, с, 327-500; Мал пасс Д. Р., в кн.: Общая органическая химия, пер. с англ., т. 3, М., 1982, с. 68-71. Н.П. Гамбарян.

Синонимы/примеры:* Реакция Гофмана; Реакция Гофмана перегруппировки; Перегруппировка Гофмана
*подобраны ИИ, возможны неточности