Эмде расщепление

ЭМДЕ РАСЩЕПЛЕНИЕ, восстановит. разрыв связи С —N в четвертичных солях аммония при действии амальгамы натрия:

6040-11.jpg

Обычно четвертичную соль в воде или водном спирте перемешивают с избытком 5%-ной амальгамы натрия или расщепляют р-ром щелочного металла в жидком аммиаке (либо сплавом никеля с алюминием). Эмде расщепление неприменимо, когда все заместители - насыщенные алкильные группы. Р-ция протекает легко при наличии кратной связи у соседнего со связью С — N атома углерода; бензильная и 3-фенилаллильная группы отщепляются легче аллильной, что используют в синтезе смешанных третичных аминов:

6040-12.jpg

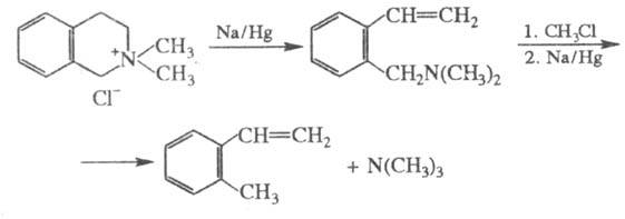
Соли типа триметилфениламмонийхлорида практически не расщепляются, однако у аналогичных циклич. соединений разрывается связь между бензольным кольцом и атомом азота:

6040-13.jpg

В условиях расщепления Гофмана такого раскрытия Цикла не происходит - элиминируется метильная группа.
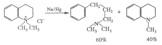
Производные тетрагидроизохинолина реагируют с расщеплением кольца как при Эмде расщеплении, так и при расщеплении по Гофману:

6040-14.jpg

Эмде расщепление является ценным дополнением к широко распространенному методу расщепления четвертичных оснований по Гофману, т. к. часто приводит к иным результатам, и особенно эффективно используется для установления строения аминов и алкалоидов. Реакцию открыл Г. Эмде в 1909.

Лит.: Вацуро К.В., Мищенко Г.Л., Именные реакции в органической химии, М., 1976, с. 499-500; Houben-Weyl, Methoden der organischen Chemie, 4 Aufl., Bd 11/1, Stuttg., 1957, S. 973.

H. П. Гамбарян.