Кoупа перегруппировка
КOУПА ПЕРЕГРУППИРОВКА, изомеризация 1,5-ненасыщенных орг. соед., сопровождающаяся миграцией аллильной группы с одноврем. сдвигом двойной связи, напр.:
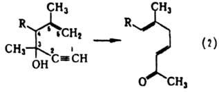
Коупа перегруппировку проводят: при нагр. в вакууме или инертной атмосфере при 150-450 °С; в присут. комплексов Pd(II) или Ni(0) при 0-20 °С; под действием КН в ТГФ в присут. краун-эфиров при 0-65 °С; при термолизе под давлением св. 100 МПа. Hаиб. изучены обратимая изомеризация 1,5-диолефинов (р-ция 1) и необратимое превращ. 1,5-енин-З-олов (р-ция 2) в ненасыщ. карбонильные соед. (т. наз. гидроокси-перегруппировка Коупа):
Эти р-ции обычно ускоряются в присут. электроно-акцепторных групп в положениях 3 и 4 и, в меньшей степени, электронодонорных групп в положениях 2 или 5; заместители в положениях 1 или 6 замедляют р-цию. наиб. распространено представление о протекании Коупа перегруппировки по согласованному механизму, включающему [3,3] - сигматропный сдвиг, к-рый осуществляется через "креслоподобное" бp-электронное переходное состояние (ф-ла I):
Считают также, что р-ция может протекать по гомолитич. механизму через промежут. образование пары аллильных радикалов или циклогексан-1,4-диильного бирадикала. Побочный процесс при изомеризации 1,5-енин-З-олов-распад исходного соед. на низший олефин и a,b-ненасыщеннoe карбонильное соединение. Коупа перегруппировку используют в орг. синтезе, напр. при получении гераниола, псевдоионона, терпеноидов, алкалоидов и др. Коупа перегруппировка открыта А. Коупом и Э. Харди в 1940. Лит.: Вудворд Р., Хоффман Р., Сохранение орбитальной симметрии, пер. с англ.. М.. 1971, с. 126-32, 160-63; Темникова Т. И., Семенова С. Н., Молекулярные перегруппировки в органической химия. Л., 1983; Rhoads S.J., Raulins N. R., в кн.: Organic reactions, v. 22, N.Y.-U 1975, p. 1-252; Lutz R. P., "Chem. Rev.", 1984, v. 84, № 3. p. 205-47; Overman LE, "Angew. Chem.", 1984, Bd 96, № 8, S. 565-73. Э. П. Серебряков.
Ещё по теме
Перегруппировка Ортона — особенности и механизм реакции
Молекулярные перегруппировки — механизмы и применение
Реакция Фаворского — перегруппировка галогенкетонов
Сигматропные перегруппировки — механизмы и типы реакций
Секстетные перегруппировки
Пинаколиновая и ретропинаколиновая перегруппировки
Пинаколиновая перегруппировка — механизм и применение
Клайзена перегруппировка — суть и значение в химии
Перегруппировки молекулярные
Фосфонат-фосфатная перегруппировка — механизмы и особенности
Патерно-Бюхи реакция — механизм и применение
Бекмана перегруппировка — суть и применение
Перегруппировка Смайлса — особенности и механизм