Смайлса перегруппировка
СМАЙЛСА ПЕРЕГРУППИРОВКА, внутримол. анионот-ропная перегруппировка ароматич. соединений, происходящая в присут. оснований по схеме:

Х-обычно S, SO, SO2, О; YH = ОН, NH2, NHR, SH; Z-цепочка, состоящая, как правило, из 2-3 атомов С. Р-цию осуществляют при нагр. (50-100°С) ароматич. соед. в р-ре щелочи (р-рители- вода, вода-этанол, вода-ацетон, вода - диоксан) от неск. минут до неск. часов. Известны примеры фотохим. Смайлса перегруппировки. Направление перегруппировки в осн. определяется относит. нуклеофильностью X и У.
Часто нуклеоф. центры X и Y находятся в орто-положе-ниях по отношению друг к другу в бензольном кольце:

В таких случаях заместитель, введенный в положение 6 этого бензольного кольца (напр., СН3, Сl, Вr), значительно ускоряет Смайлса перегруппировку, т.к. он обусловливает оптим. конформацию молекулы в переходном состоянии.
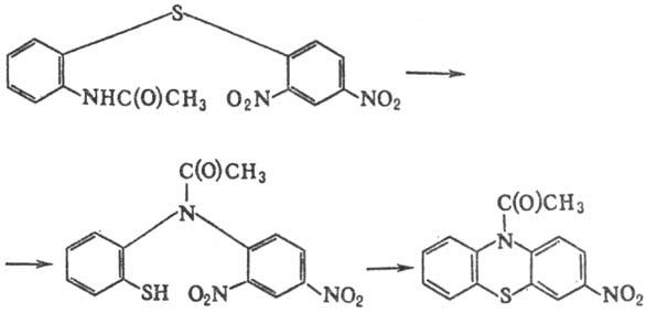
Нуклеофугные группы в орто-положениях арила соединений Ar-X-Z-YH и Ar-Y-Z-XH достаточно легко подвергаются внутримол. нуклеоф. замещению с образованием би-и полициклич. систем с двумя гетероатомами X и Y в одном цикле. При этом необходимо учитывать возможность протекания Смайлса перегруппировки. Так, o-гидроксидифенилсульфиды циклизуются в феноксатиины без Смайлса перегруппировки, а циклизации о-аминодифенил-сульфидов в фенотиазины предшествует Смайлса перегруппировке, напр.:

Механизм Смайлса перегруппировки включает образование переходного состояния (ф-ла I):

При наличии достаточного кол-ва электроноакцепторных групп (напр., NO2) в орто- и пара-положениях мигрирующего арила (они ускоряют Смайлса перегруппировку) промежут. анионные спи-рокомплексы. Майзенхаймера (I) довольно устойчивы.
Частный случай Смайлса перегруппировки-перегруппировка Трюса (открыта В. Трюсом в 1958) о-толиларилсульфонов под действием литийорг. соединений в о-бензилсульфиновые к-ты:

Перегруппировка изучалась С. Смайлсом начиная с 1930; несколько примеров аналогичных р-ций было известно ранее.
Лит.: Марч Дж., Органическая химия, пер. с англ., т. 3, М., 1987, с. 44-45; Warren L. А., Smiles S., "J. Chem. Soc.", 1930, p. 956-63; Truce W. E., Kreider E. M., Brand W. W., в кн.: Organic Reactions, v. 18, N.Y., 1970, p. 99-215; Drozd V. N, "Int J. Sulfur Chemistry", 1973, v. 8, № 3, p. 443-67.
В. Н. Дрозд.