Фенотиазин
ФЕНОТИАЗИН (дибензо-1,4-тиазин), мол.м. 199,3; желтые кристаллы; т.пл. 185,5-189 0C, т. кип. 371 0C (с разл.), 290 °С/40 мм рт. ст.; возгоняется, летуч с водяным паром. Хорошо раств. при натр, в этаноле, уксусной к-те, плохо - в диэтиловом эфире и бензоле. В холодной H2SO4 раств. с выделением SO2; при натр, с металлич. Cu отщепляет серу, образуя карбазол .

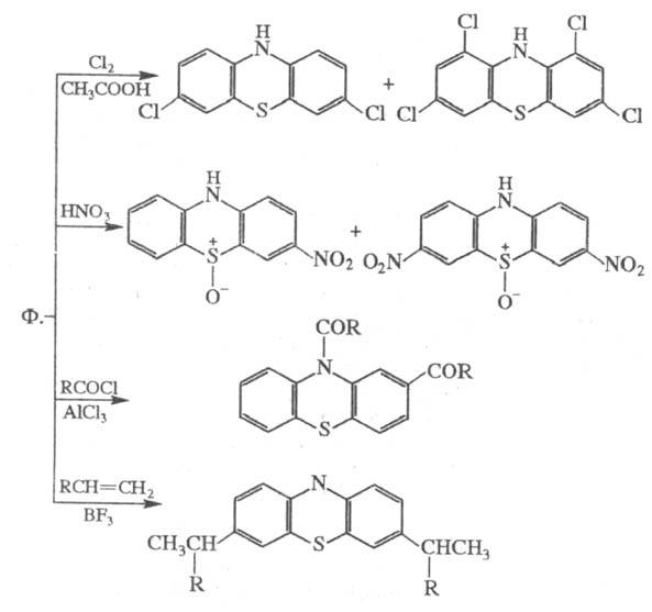
Фенотиазин обладает св-вами ароматических соединений. Является хорошим донором электронов и с разл. акцепторами образует комплексы с переносом заряда. Легко вступает в электроф. замещение, к-рое направляется в первую очередь в положения 3 и 7 и часто сопровождается окислением; ацилирование направляется в положения 2 и 10, напр.:

Бромирование фенотиазина в нитробензоле протекает с образованием 1,2,3,7,8,9-гексабромпроизводного, аналогичное хлорирование - с образованием продукта глубокого (до 11 атомов Cl) хлорирования и потерей ароматичности одного из колец.
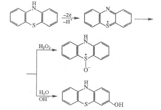
Окисление фенотиазина действием H2O2 или KMnO4 приводит к фенотиазин-5-оксиду или фенотиазин-5,5-диоксиду. Р-ции протекают в виде последоват. стадий с промежут. образованием катиона, в к-ром положение 3 чувствительно к атаке нуклеоф. реагентов, напр.:

Окисление фенотиазина FeCl3 в присут. NaNO2 приводит к 3-нитро-фенотиазину. Фенотиазин обнаруживают с помощью цветных р-ций с окислителями - он дает зеленую окраску с FeCl3 и красную - с H2O2 в кислой среде.
Фенотиазин получают нагреванием дифениламина с S при 180-250 0C в высококипящих р-рителях в присут. I2 или AlCl3. Общий метод получения фенотиазина и его производных -циклизация 2'-замещенных производных 2-аминодифенил-сульфида в присут. сильных оснований:

Фенотиазин используется в качестве инсектицида, антигельминта, антиоксиданта смазочных масел; производные фенотиазина- красители (см. Азиновые красители, Метиленовый голубой), лек. ср-ва (аминазин, диэтазин, прометазин, этопропазин и др.), ингибиторы полимеризации.
Лит.: Гетероциклические соединения, под ред. P. Эльдерфидда, пер. с англ., т. 6, M., 1960, с. 568-91; Общая органическая химия, пер. с англ., т. 9, M., 1985, с. 627-35. Г. А. Швехгеймер, В. И. Келарев.