Азиновые красители

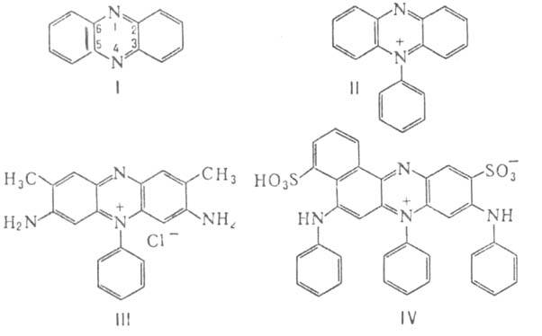
АЗИНОВЫЕ КРАСИТЕЛИ (диазиновые красители), производные 1,4-диазина (пиразина), конденсированного в положениях 2, 3 и 5, 6 с кольцами бензола (феназин; ф-ла I), нафталина или др. ароматич. углеводорода. У большинства азиновых красителей один из атомов N гетероцикла соединен с арильным (чаще всего фенильным) остатком; такие красители являются производными N-фенилфеназония (ф-ла II).

Простейшие азиновые красители относятся к основным и кислотным красителям. Они обычно красного, фиолетового, синего или голубого цвета; известны, но не имеют практич. значения желтые, зеленые и серые азиновые красители. Типичные представители-основной красный краситель сафранин Т (ф-ла III) и кислотный темно-голубой (IV). Цвет азиновых красителей углубляется от красного к фиолетовому и синему при алкилировании и особенно при арилировании аминогрупп, а также при замене бензольных колец нафталиновыми. При действии восстановителей азиновые красители образуют неокрашенные лейкосоединения; окислители, в т.ч. О2 воздуха, превращают лейкосоединения в исходные азиновые красители. Сильные к-ты и р-ры щелочей обычно резко изменяют цвет азиновых красителей; менее чувствительны к таким воздействиям производные М-фенилфеназония.
1008-33.jpg

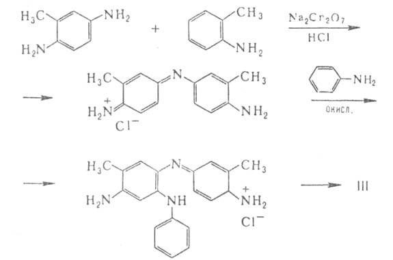
Азиновые красители получают чаще всего циклизацией и окислением индаминов, содержащих первичную или вторичную аминогруппу в орто-положении к центральному атому N. Так, сафранин Т получают из смеси 2,4-толуилендиамина, о-толуидина и анилина, к-рую в водном слабокислом р-ре окисляют сначала на холоду, а затем при кипячении:
1008-34.jpg

Кислотный темно-голубой получают окислением смеси 1,3-бис-(фениламино)нафталин-8-сульфокислоты и 4-аминодифениламин-2-сульфокислоты.

Основные азиновые красители отличаются яркостью и большой красящей способностью, но окраски неустойчивы к действию света и мокрым обработкам. Поэтому такие азиновые красители не используют в текстильной пром-сти; их применяют при окраске бумаги (это основное назначение и сафранина Т) и кожи, а также как окислит.-восстановит. индикаторы, десенсибилизаторы, активную среду в лазерах. Кислотные азиновые красители содержат не менее двух сульфогрупп. Они более светостойки и используются для крашения шерсти. О более сложных азиновых красителях см. Индулины, Нигрозины, Оксидационные красители (в т.ч. анилиновый черный). Пиразиновый цикл содержат также нек-рые сернистые красители и полици-клич. кубовые красители.

Ассортимент азиновых красителей во всем мире включает ок. 60 представителей. Поиски новых азиновых красителей проводятся гл. обр. для ср-в новой техники, напр. лазерной.

Красно-фиолетовый азиновый краситель (мовеин) был первым пром. син-тетич. красителем, полученным из кам.-уг. сырья (1856; У. Перкин-старший). Этот азиновый краситель вскоре, однако, был вытеснен более прочными и экономичными красителями. М.А. Чекалин.