Мовеин
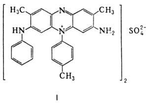
МОВЕИН (от франц. mauve - мальва; по сходству окраски), красновато-фиолетовый диазиновый краситель; сложная смесь близких по цвету изомеров и гомологов, один из к-рых отвечает ф-ле I. Получается окислением техн. смеси анилина и изомерных толуидинов действием К2Сr2О7. Выпускался в виде сернокислой соли под разл. торговыми назв., напр. розолин, анилиновый фиолетовый. Применялся для крашения шелка и шерсти в яркий красно-фиолетовый цвет. Окраски недостаточно светопрочны. Полностью утратил практич. значение еще в 19 в. после появления более прочных и доступных красителей.
Мовеин-первый пром. синтетич. краситель, положивший начало развитию анилинокрасочной пром-сти. Открыт англ. химиком У. Перкиным в 1865.

Исп. литература для статьи «МОВЕИН»: Венкатараман К., Химия синтетических красителей, пер. с англ., т. 2, Л., 1957. С. И. Попов.