Оксазиновые красители
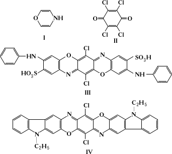
Оксазиновые красители, относятся к группе хинониминовых красителей, производные оксазина (I). Большое практическое значение имеют прямые оксазиновые красители (синего и голубого цветов) и оксазиновые красители, являющиеся пигментами (фиолетового цвета). Пигменты получают конденсацией хлоранила (II)

с ароматическими или гетероциклическими аминами. При получении прямых оксазиновых красителей одновременно с конденсацией осуществляют сульфирование. Важные представители оксазиновых красителей — прямой ярко-голубой светопрочный (III) и пигмент фиолетовый диоксазиновый (IV) — обладают высокой прочностью и применяются для окраски хлопчатобумажных тканей (III) и в качестве пигментов (IV).
Лит.: Коган И. М., Химия красителей, 3 изд., М., 1956.
*Подобраны с помощью LLM, верифицированы, но возможны неточности.
Ещё по теме
Оксазиновые красители — свойства и применение
Азиновые красители — свойства и применение
Оксидационные красители — свойства и применение
Основные красители — характеристики и применение
Дисперсные красители — свойства и применение
Акридиновые красители и их применение
Азиновые, оксазиновые и тиазиновые красители — свойства и применение
Катионные красители — свойства и применение
Активные красители — свойства и применение
Кислотные красители — особенности и применение
Эозин — характеристики и применение
Ацетонорастворимые красители — особенности и применение
Дополнения к описанию оксазиновых красителей: