Акридиновые красители

АКРИДИНОВЫЕ КРАСИТЕЛИ, производные акридина и 9-фенилакридина. Имеют желтый, оранжевый и коричневый цвета. Из-за низкой светостойкости для крашения шерсти, шелка, бумаги, дерева, кожи применяются ограниченно. Их получают по схеме:
1012-10.jpg

Практич. значение имеют гл. обр. основной желтый К (R = = Н) и основной желтый О (R = CH3).

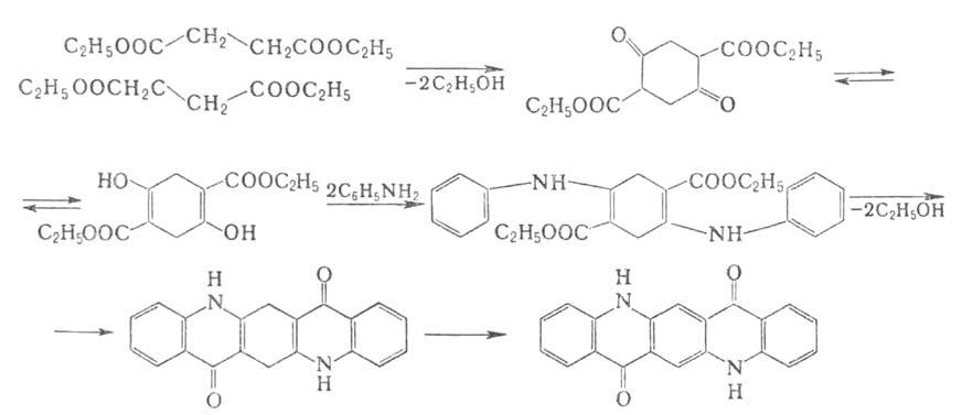
К акридиновым красителям относятся также хинакридоновые пигменты - дикетопроизводные хинолинакридинов, или хинакридинов. Осн. из них-линейный транс-хинакридон (5,12-дигидрохинолино[2,3-b]акридин-7,12-дион) красного цвета. Важнейшие методы его получения:

1. Конденсация диэфира янтарной к-ты, взаимод. продукта р-ции с анилином, циклизация образовавшегося диэфира 2,5-дианилино-3,6-дигидротерефталевой к-ты при 250°С и окисление дигидрохинакридона:
1012-11.jpg

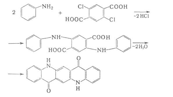
2. Нагревание 2,5-дихлортерефталевой к-ты с избытком анилина с послед. циклизацией образовавшейся 2,5-дианилинотерефталевой к-ты при нагревании в присут. конденсирующих агентов, напр. расплавленной смеси А1С13 и NaCl или А1С13 в трихлорбензоле:
1012-12.jpg

В обоих случаях образуется нестабильная кристаллич. модификация.

Практич. значение имеют пигменты фиолетовый хинакридоновый (1012-13.jpg-модификация) и розовый хинакридоновый (1012-14.jpg-модификация), получаемые размолом1012-15.jpg-модификации с NaCl и орг. р-рителями-соотв. с о-дихлорбензолом и ДМФА.

Большое число др. транс-хинакридонов содержат заместители (напр., СН3, Cl, CF3) в ароматич. ядрах. Они окрашены в цвета от оранжевого до пурпурного; высокоустойчивы к действию света, реагентов, нагреванию до 165 °С; не раств. в орг. р-рителях и не мигрируют в окрашенных материалах.

Хинакридоновые пигменты применяют для приготовления эмалей горячей сушки (окраска автомобилей), полиграфич. красок, для крашения поливинилхлорида и др. пластмасс, синтетич. волокон и печатания тканей.

Литература

Венкатараман К., Химия синтетических красителей, пер. с англ., т. 2, Л., 1957, с. 864-70; т. 5, Л., 1977, с. 356-68; Степанов Б. И., Введение в химию и технологию органических красителей, 2 изд., М., 1977, с. 166-68.

Синонимы/примеры:* Акридин; Акридин оранжевый; Акридин желтый; Ривanol; Акрифлавин; Трифлавин; Эуфлавин
*подобраны ИИ, возможны неточности