Оксазиридин
ОКСАЗИРИДИН, мол.м. 45,04. Незамещенный оксазиридин не выделен. Св-ва и стабильность замещенных оксазиридинов зависят от природы заместителей при атоме N. Оксазиридины, незамещенные по атому N (изоксимы), а также 2-арилзамещенные разлагаются при комнатной т-ре. 2-Алкилзамещенные отличаются конфигу- рац. стабильностью пирамидального атома азота (барьер инверсии ок. 135 кДж/моль); представляют собой жидкости, разлагающиеся при т-ре >100°С или при длит, хранении при комнатной т-ре.

Замещенные оксазиридины смешиваются со всеми орг. р-рителями, не раств. в воде. По основности близки к амидам карбоновых к-т; протонирование возможно как по атому N, так и по атому О. В масс-спектрах наряду с пиком мол. иона М + имеется пик [М — 16] + , обусловленный потерей атома кислорода.
Замещенные оксазиридины-сильные окислители: окисляют НСl до Сl2, из кислого р-ра иодидов выделяют I2, напр.:

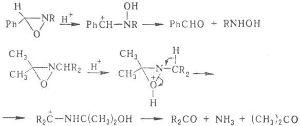
Легко подвергаются кислотному гидролизу. Так, 3-арил-производные гидролизуются с расщеплением цикла по связи С—О, 3-алкилпроизводные-по связи N—О, напр.:

3-Арилоксазиридины при нагр. легко перегруппировываются в нитроны:

Обратная р-ция-один из способов синтеза 3-арилоксазиридинов.
При нагр. (200-300 °С) или в присут. солей Fe(II) происходит изомеризация в амиды; окисление 2-алкилоксазириди-нов надкислотами приводит к алифатич. нитрозосоедине-ниям.
Получают замещенные оксазиридины действием надкислот или Н2О2 (в присут. нитрилов) на основания Шиффа или на смесь альдегида (кетона) с первичным амином, озонолизом олефи-нов в присут. первичных аминов или NH3 при низких т-рах (-20 °С), а также взаимод. альдегидов (кетонов) с ал-килхлораминами или гидроксиламин-О-сульфокислотой, напр.:

Применяют замещенные оксазиридины в орг. синтезе для получения N-алкилгидроксиламинов, замещенных гидразинов и др., а также в качестве инициаторов полимеризации акриламида и метилметакрилата. Замещенные оксазиридины взрывоопасны.
Лит.: Шмитц Э., Трехчленные циклы с двумя гетероатомами, пер. с нем., М., 1970; Общая органическая химия, пер. с англ., т. 9, М., 1985, с. 673-79; Comprehensive heterocyclic chemistry, v. 7, pt 5 - Small and large rings, Oxf.- [a. o.], 1984. П. А. Гембицкий.