Азиды органические

АЗИДЫ ОРГАНИЧЕСКИЕ, производные азотистоводородной к-ты HN3, в к-рой атом Н замещен на орг. радикал. Азидогруппа —N3 м. б. связана с атомом С, напр, в алкил- и арилазидах (диазоиминосоединениях) RN3, ацилазидах (диазоимидах) RC(O)N3, или с гетероатомом, напр. в азидах арилсулъфокислот. Азиды могут содержать неск. азидогрупп в молекуле.

Названия азидрв образуют, прибавляя к названию радикала окончание "азид", напр. СН3Ы3-метилазид, С6Н5С(О)N3-бензоилазид, или ставя перед названием соединения, радикал к-рого входит в азид, приставку "азидо", напр. С6Н5Н3-азидобензол, НС(О)СН2N3-азидоацетальдегид.

Многие азиды (особенно содержащие более 25% азидного азота) легко разлагаются; при сильном нагревании или ударе взрываются. Азиды раств. в орг. р-рителях, плохо - в воде.

Азидогруппа линейна. Ее конфигурация на примере CH3N3 приведена ниже:
1008-14.jpg

Строение группы —N3 промежуточное между тремя предельными структурами с преобладающим вкладом первых двух:
1008-15.jpg

Атом Nb имеет гибридизацию sp, Na-sp2, Nc — spx (1 < x < 2).

В алифатич. соед. группа —N3 проявляет отрицат. индукционный эффект. С ароматич. кольцом может вступать в р,1008-16.jpgили1008-17.jpg-сопряжение, проявляя соотв. положит. или сла-боотрицат. мезомерный эффект; константы Гаммета1008-18.jpg 0,37,1008-19.jpg -0,08,1008-20.jpg -0,54,1008-21.jpg -0,11. Основные св-ва проявляет атом Na.

В ИК-спектрах арил- и алкилазидов проявляются асимметричные и симметричные валентные колебания в областях 2135-2090 и 1300-1270 см -1. В УФ-спектрах алифатич. азидов имеются два максимума, напр. для C4H9N3 при 285 и 215.нм (1008-22.jpg 25 и 500 соотв.).

При наличии в молекуле азида ацильной, эфирной или сульфонильной группы, сопряженной с азидогруппой, степень двоесвязанности связи N—N2 понижается, облегчая ее разрыв:
1008-23.jpg

Такие азиды менее стабильны, т-ры разложения их ниже, а реакционная способность выше, чем у алкил- и арилазидов. Термич. и фотохим. разложение азидов сопровождается выделением N2 (промежуточно образуются нитрены), напр.:
1008-24.jpg

Отщепление N2 от ацилазидов при 20-150 °С в средах от нейтральной до сильнокислой сопровождается внутримол. перегруппировкой с образованием изоцианатов, к-рые мгновенно взаимод. с р-рителем, напр. со спиртом образуют уретаны (см. Курциуса реакция].

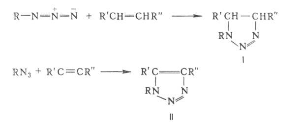
В результате 1,3-диполярного циклоприсоединения азидов к ненасыщенным соед. (диполярофилам) при т-рах ниже т-ры разложения азидов образуются1008-25.jpg-1,2,3-триазолины (ф-ла I) и 1,2,3-триазолы (II), напр.:
1008-26.jpg

Циклоприсоединение азидов к нитрилам приводит к тетразолам:
1008-27.jpg

Алкил- и арилазиды при взаимод. с реактивом Гриньяра превращаются в диазоаминосоединения:
1008-28.jpg

Ацилазиды гидролизуются разб. водными р-рами к-т или оснований до карбоновых к-т и HN3.

Азиды получают действием NaN3 на алифатич. и ароматич. галогенсодержащие соед. [RHal, RSO2Hal, RC(O)Hal], напр.: RHal + NaN31008-29.jpg RN3 + NaHal. Арилазиды синтезируют также по р-ции:

[ArN=N] + Hal- + NaN31008-30.jpgArN3 + N2 + NaHal

Нитрозирование арилгидразинов или гидразидов карбоновых к-т приводит соотв. к арил- или ацилазидам, напр.:

ArNH—NH2 + HONO1008-31.jpg ArN3 + H2O. Азидоформиаты получают при 0°С в среде хлороформа:

1008-32.jpg

Количеств. определение азидогруппы в арил- и алкилазидах основано на восстановлении ее арсенат-иоыами до аминогруппы и иодометрич. титровании образовавшихся арсенит-ионов; в ацилазидах - на газометрич. определении N2, выделившегося при перегруппировке Курциуса. Колориметрически и фотометрически азиды определяют по интенсивно красному окрашиванию с солями Fe(III).

Азиды используют для стерилизации масел (напр., бензил-азид, толилазид), как ацилирующие агенты аминокислот, в синтезе полипептидов, аминов (см. Шмидта реакция) и многих азотсодержащих ароматич. и гетероциклич. соединений. 2-Азидо-4-метилтио-6-изопропиламино-сим-триазин (азипротрин)-гербицид.

Литература

Общая органическая химия, пер. с англ., т. 3, М., 1982, с. 313-25; L'Abbe G., "Chem. Revs.", 1969, v. 69, №3, p. 345-63; Hedayatullah M., Hugueny J., "Synth. Commun.", 1981, v. 11, № 8, p. 643-46. P. Я. Попова.

Синонимы/примеры:* Алкил- и арилазиды; Органические азиды
*подобраны ИИ, возможны неточности