Азины
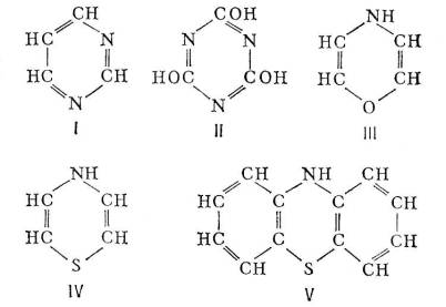
Азины, гетероциклические соединения, содержащие в цикле, наряду с атомами углерода, не менее двух других атомов, из которых, по крайней мере, один — атом азота. Азины с двумя атомами азота в кольце называют диазинами, например пиримидин (1), с тремя — триазинами, например циануровая кислота (II), и т. д. К числу азинов, в цикл которых входят, кроме азота, другие атомы, относятся, например, оксазин (III), тиазин (IV). Азины обладают основным характером и дают соли с кислотами.

Многие производные азинов имеют большое значение. Так, в состав нуклеиновых кислот входят пиримидиновые основания. Пиримидиновая система содержится в витаминах B1, B2, BC. Аминазином и др. производными фентиазина (V) пользуются в психиатрической и хирургической практике. Известны и другие лекарственные средства, например люминал, сульфадимезин, а также красители — индантреновые, сафраниновые и др., в состав которых входят азины.
Я. Ф. Комиссаров.
Дополнения к описанию азинов: