Циануровая кислота

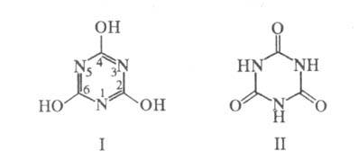
ЦИАНУРОВАЯ КИСЛОТА (2,4,6-тригидрокси-1,3,5-триазин), мол. м. 129,1; бесцв. кристаллы; т. пл. > 360 °С (с разл.);6019-36.jpg 1,758; Ср 176,6 Дж/(моль х К) при 25 °С;6019-37.jpg -690,8 кДж/моль,6019-38.jpg 160,2 кДж/моль,6019-39.jpg -918,4 кДж/моль. Р-римость в воде (г/л) при 25,50 и 90 °С соотв. 2,7 и 26; р-римость в бензоле, ДМФА, ДМСО при 25 °С соотв. 2,3, 67 и 151 г/л; не раств. в ацетоне, спиртах, диэтиловом эфире. Может существовать в виде лактимной (циануровая к-та; ф-ла I) и лактамной форм (изоциануровая к-та, или триазинтрион; ф-ла II):

6019-40.jpg

Константы ионизации формы II К1, К2 , К3(вода, 25 °С) соотв. 6,3 х 10-7, 7,8 х 10-11, 3,2 х 10-14.
Циануровая кислота при нагр. выше 360 °С разлагается до циановой к-ты. При взаимод. с NH3 под давлением при 200-250 °С образует моноаммониевую соль, выше 250 °С - цианурамид (4-амино-2,6-дигидрокси-1,3,5-триазин, аммелид); при нагр. с НС1 разлагается с выделением СО2 и NH3. Взаимод. циануровой кислоты с гидроксидами металлов I, II и IV фупп приводит к одно-, двух- и трехзамещенным солям - циануратам. Цианурат Na в водном р-ре при взаимод. с С12 превращается в 1,3,5-трихлоризоциануровую к-ту. Циануровая кислота под давлением при повышенной т-ре в присут. РС15 образует цианурхлорид (2,4,6-трихлор-1,3,5-триазин, т. пл. 154 °С). При взаимод. с этиленоксидом, аллилхлоридом и бензилхлоридом циануровая кислота превращается соотв. в 1,3,5-трмс-(2-гидроксиэтил)-, триаллил- и трибензилпроизводные изоциануровой к-ты.

Получают циануровую кислоту гл. обр. пиролизом мочевины; другие способы получения - нагревание мочевины в присут. С12, СОС12, SO2C12, гидролиз цианурхлорида и меламина.
Определяют циануровую кислоту методом потенциометрич. титрования щелочи, выделившейся при осаждении меламином циануровой кислоты из ее соли.
Циануровую кислоту, цианурхлорид и другие производные применяют для получения эффективных отбеливающих и дезинфицирующих ср-в, полимеров, используют в качестве фунгицидов, гербицидов, антипиренов, клеев; триаллильное производное изоциануровой к-ты - сшивающий агент и стабилизатор ПВХ.
Токсич. действие циануровой кислоты незначительно; производные циануровой кислоты, напр. аминопроизводные, более токсичны. Для триаллилпроизводного изоциануровой к-ты ЛД50 438 мг/кг (мыши, внутрижелудочно). ПДК для циануровой кислоты 0,5 мг/см3 (в водоемах хозяйств.-бытового пользования 6 мг/л), для цианурхлорида 0,1 мг/м3.

Лит.: Smolin E. M., Rapoport L.I., S Triazines and derivatives, N. Y.-L., 1959, p. 17-146; Kirk-Othmer encyclopedia, 3 ed., v. 7, N. Y., 1979, p. 397-410.

C. С. Рукевич, В. И. Заграничный.

Циануровая кислота и ее производные вступают в р-цию с карбонильными соед. в условиях Кнёвенагеля реакции, напр.:

6019-41.jpg

Р-ция циануровой кислоты и ее эфиров с мочевиной и ее производными приводит к азотсодержащим гетероциклам, напр, с 1,3-диметилмочевиной образуется 1,3-диметил-4-иминоурацил - полупродукт в синтезе пуриновых алкалоидов (теофиллина, кофеина):

6019-42.jpg

Р-цией этилового эфира циануровой кислоты с мочевиной получают 2,4-дигидрокси-6-аминопиримидин:

6019-43.jpg

В пром-сти и лаборатории циануровую кислоту получают взаимод. хлорацетата Na с NaCN в водной среде при 80-85 °С:

6019-44.jpg

Синонимы/примеры:* Циануровая трикетон; Тригидроксицианурин; 1,3,5-триазин-2,4,6(1H,3H,5H)-трион
*подобраны ИИ, возможны неточности