Азепин

АЗЕПИН (азациклогептатриен). Теоретически возможны 4 изомера: 1Н-азепин, 2Н-азепин, ЗН-азепин и 4Н-азепин (соотв. ф-лы I-IV), однако ни один из них не выделен. Среди производных азепинов (для их молекул характерна конформация ванны) устойчивость уменьшается в ряду: ЗН-азепин > 1Н-азепин > 4Н-азепин > 2Н-азепин
1007-24.jpg

Производные 1Н-азепина устойчивы при наличии электроноакцепторного заместителя у атома N. Они легко димеризуются, образуя аддукты в диеновом синтезе с тетрацианэтиленом (но не реагируют с малеиновым ангидридом и азодикарбоновым эфиром). Общий метод получения: взаимод. 1,4-циклогексадиенов с иодизсацианатом и спиртом с образованием производных азаноркарадиена (V), к-рые находятся в таугомерном равновесии с метоксикарбонил-1Н-азепинами (равновесие обычно сдвинуто вправо), напр.:
1007-25.jpg

Их синтезируют также взаимод. бензола или его замещенных с нитренами или термич. перегруппировкой азаквадрицикленов, получаемых фотоизомеризацией аддуктов диенового синтеза пирролов с ацетиленами:
1007-26.jpg

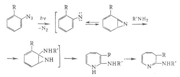
Все известные производные ЗH-азепина имеют заместители в положении 2; присоединение к ним по двойной связи идет гл. обр. в положения 1 и 2. 2-Амино-3Н-азепин получают разложением арилазидов в присут. аминов:
1007-27.jpg

4Н-азепин синтезируют из аддуктов ненасыщенных триазинов с дифенилциклопропенами, образующихся в р-ции Дильса-Альдера. Однако при нагр. они превращаются в более устойчивые производные 3Н-азепина.

Нек-рые производные азепина, гл. обр. частично гидрированные N-замещенные дибензазепины, используют в медицине как антидепрессанты.

Литература

Иванский В.И., Химия гетероциклических соединений, М., 1978, с. 486-93; Общая органическая химия, пер. с англ., т. 8, М., 1985, с. 708-36. В. Р. Скварченко.

Синонимы/примеры:* Гептафтор; 1H-Азепин; Азепациклогептатриен
*подобраны ИИ, возможны неточности