Тиепин
ТИЕПИН, мол. м. 110,13; в своб. виде не выделен. Представляет собой неустойчивую 8p-электронную гетероциклич. систему. Молекула непланарна и предпочтительно имеет форму ванны.

Наиб. стабильны производные тиепина, содержащие в положениях 2 и 7 молекулы объемные заместители или функц. группы, а также конденсированные тиепины, S-тиепиниевые соли (ф-ла I) и сульфон тиепина (тиепин-1,1-диоксид, II). Так, напр., 2,7-ди-трет-бутил-4-этоксикарбонил-5-метилтиепин - кристаллы, т. пл. 23,5-24,4 °С (в инертном газе), тиепин-1,1 -диоксид-светло-желтые кристаллы, т. пл. 117-118 °С (с возг.).

Общая р-ция для всех тиепинов-превращение в ароматич. соед. через эписульфидный валентный изомер бензолэписульфид (III), сопровождающееся выделением серы.:

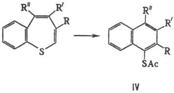
Производные бензо[b]тиепина при термолизе превращ. в производные нафталина. В случае бензо[b]тиепина, незамещенного по положению 2, нагревание с уксусным ангидридом приводит к образованию тиолацетата (IV), напр.:

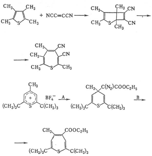
Моноциклич. производные тиепина получают из производных тиофена или солей тиопирилия, напр.:

А-этиллитийдиазоацетат В-аллиллалладийхлорид
Бензо[b]тиепины получают взаимод. бензо[b]тиофена с производными ацетилена; дибензотиепины, в частности их хлорпроизводные,- внутримол. циклизацией замещенного дифенилсульфида с послед. галогенированием и дегидро-галогенированием.
Нек-рые дибензотиепины обладают противовоспалит. активностью; 10,11-дигидропроизводные дибензо[b]тиепи-нов - нейролептич. активностью.
Лит.: Общая органическая химия, пер. с англ., т. 9, М., 1985, с. 329-31; Comprehensive heterocyclic chemistry, ed. by A. R. Katritzky, S. W. Rees, v. 7, Oxf., 1984. А. В. Анисимов.