Галогенирование

ГАЛОГЕНИРОВАНИЕ (галоидирование), введение галогена в молекулу орг. соединения. Осуществляют путем р-ций замещения (заместительное галогенирование) или присоединения (присоединительное галогенирование).

Заместительное галогенирование. При действии галогенов на насыщ. углеводороды (металепсия) процесс протекает при инициировании светом по свободнорадикальному цепному механизму, напр.:
1096-13.jpg

По свободнорадикальному механизму идет также галогенирование углеводородных цепей жирноароматич. соединений. В присут. к-т Льюиса р-ция протекает по электроф. механизму, напр.:
1096-14.jpg

Галогенирование алифатич. карбоновых к-т в1096-15.jpg-положение проводят с помощью С12 или Вг2 в присут. красного Р (Гелля-Фолъгарда-Зелинского реакция). Замещение1096-16.jpgводородных атомов в алифатич. и жирноароматич. карбонильных соед. идет через присоединение галогена к енольной форме, напр.:
1096-17.jpg

Действием N-галогенамидов, гл. обр. N-бромсукцинимида, в присут. пероксидов осуществляют свободнорадикальное галогенирование олефинов, жирноароматич. и гетероароматич. соед. по метальной или метиленовой группе, соседней с двойной связью или циклом (Воля - Циглера реакция).

Замещение атомов Н на F с образованием полифторзамешенных соед. проводят путем электрохим. фторирования в безводном HF (р-ция Саймонса), действием CoF3 и др.

Заместительное галогенирование в ядро ароматич. и гетероароматич. соед. протекает по механизму электроф. замещения; обычно его осуществляют с использованием катализаторов (гл. обр. апротонных или протонных к-т), напр.:
1096-18.jpg

Если в ядре этих соед. присутствуют пассивирующие заместители, процесс можно проводить действием катиона галогена, образующегося из молекулярного галогена и соли Ag в среде сильной протонной к-ты (р-ция Биркенбаха-Губо-Уотерса), напр.:
1096-19.jpg

Замещение на галоген атомов, отличных от водорода, или группы атомов осуществляется чаще всего по нуклеоф. механизму. В алифатич. соед. для замены атомов галогенов (гл. обр. С1 или Вr) на иод используют Nal (Финкелъштапна реакция), а на фтор-SbF3 (р-ция Свартса). Группы ОН замещают на хлор или бром действием соответствующих галогеноводородов, тригалогенидов или оксигалогенидов фосфора, а также тионилгалогенидов, а на фтор-действием диэтил-1,1,2-трифтор-2-хлорэтиламина или SF4. Карбоксильную группу замещают на С1, Вг или I действием на серебряные соли карбоновых к-т соответствующего галогена (Бородина - Хунсдиккера реакция]. Заменой карбонильного кислорода в альдегидах или кетонах на галоген (напр., с помощью РС15, PBr5, SF4, MoF6) получают геминальные галогензамещенные.

В ароматич. ряду для получения галогензамсщеиных используют замену групп NH2 на С1, Вr или I каталитич. разложением соответствующих солей диазония в присут. порошка Сu (Гаттермана-Коха реакция)или действием солей Сu (Зандмепера реакция), а на F-разложением гидрофторидов диазония (Шимана реакция). Для галогенирования ароматич. и гетероароматич. соед. используют также р-цию замещения (в т.ч. обмен галогенов), протекающую по механизму присоединения-отщепления с промежут. образованием анионных1096-20.jpgкомплексов, напр.:
1096-21.jpg

Легкость заместительного галогенирования действием галогенов уменьшается в ряду F " С1 > Вr > I. Напр., для гомолитич. галогенирования метана до СН3На1 изменение энтальпии в указанном ряду составляет соотв. -418, -105, -31 и + 54 кДж/моль. Из-за высокой экзотермичности фторирование проводят при низких т-рах и разбавлении F2 азотом, а чаще вместо F2 используют фторсодержашие соединения. Иодирование действием I2, как правило, идет с трудом и к тому же резко замедляется из-за обратимости р-ции. Поэтому процесс ведут обычно в присут. окислителей (напр., HgO, HNO3), окисляющих выделяющийся HI до I2, либо солей серебра, связывающих анион I- в виде нерастворимой соли и одновременно обеспечивающих генерирование галогенирования.

Присоединительное галогенирование. К ароматич. и гете-роароматич. соед. галоген присоединяется, как правило, по радикальному механизму под действием света или при нагр., напр.:

1096-22.jpg

Если цикл активирован, р-ция может протекать по ионному механизму, к-рый включает стадию присоединения аниона галогена к промежуточно образующемуся в процессе электроф. замещения1096-23.jpgкомплексу, напр.:
1096-24.jpg

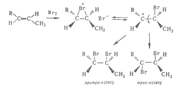
Присоединение галогенов по кратной связи происходит по электроф. или радикальному механизму. Его можно осуществлять действием галогсноводородов (см. Гидрогалогенирование), межгалогенных соед. (напр., ClBr, СП) или гипогалогенитов. В случае электроф. присоединения может нарушаться правило Марковникова, что обусловлено образованием промежут. мостикового катиона ф-лы I, напр.:
1096-25.jpg

Способность галогенов образовывать такие промежут. катионы возрастает в ряду: F " С1 < Вr < I. Образование мостековых ионов может приводить также к стереоселективному присоединительному галогенированию, причем способность заместителя при кратной связи к стабилизации положит. заряда без образования мостикового иона снижает стереоселективность. Так, при бромировании 1-фенил-1-пропена (в приведенном ниже уравнении реакции R = Ph) образуется 88% эритро-изомера и 12% трео-изомера, а в случае 1-(о-метоксифенил)- 1-пропена (R-o-CH3OC6H4) - соотв. 63 и 37%:
1096-26.jpg

Присоединительное галогенирование применяют для получения вицинальных и геминальных дигалогензамещенных, напр.:
1096-27.jpg

Для введения в молекулу атома F широко используют варианты сопряженного присоединения аниона F- и связанного с ним катиона по кратной связи в среде HF, напр.:
1096-28.jpg

Иногда галогенирование (заместительное и присоединительное) проводят действием галогеноводородов (НС1 или НВr) и окислителя (т. наз. окислительное галогенирование). Р-цию осуществляют в жидкой или газовой фазе (окислители соотв. Н2О2 и О2) в присут. соли Си на пемзе. См. также Галоформная реакция, Фторирование органических соединений.

Литература

Тереитьев А. П., Яновская Л. А., в кн.: Реакции и методы исследования органических соединений, кн. 6, М., 1957, с. 7-342; Кнунянц И. Л., Сокольский Г. А., там же, с. 343-87; Бюлер К., Пирсон Д., Органические синтезы, пер. с англ.. М., 1973, с. 374-468; Эфрос Л. С, Горелик М. В., Химия и технология промежуточных продуктов. Л., 1980; Чамберс Р. Д., Джеймс С. Р, в кн.: Общая органическая химия, пер. с англ., т. 1, М., 1981, с. 622-719. Л. И. Беленький

Синонимы/примеры:* Фторирование; Хлорирование; Бромирование; Иодирование
*подобраны ИИ, возможны неточности