Фторирование
ФТОРИРОВАНИЕ. 1) Введение атома фтора в молекулу хим. соединений. Фторирование орг. соединений осуществляют прямым (заместительным) фторированием либо присоединением F2, HF или др. неорг. фторидов по кратным связям.
Прямое фторирование- сильно экзотермич. процесс, поэтому проведение его требует особых приемов для отвода тепла, чтобы предотвратить деструкцию связей С —С. Один из таких приемов - проведение р-ции при низких т-рах в условиях сильного разбавления: фтор разбавляют инертными газами, а фгорир. соед.- инертными по отношению к фтору орг. р-рителями. Кроме F2 используют фториды металлов, напр.:

Для синтеза хладонов применяют жидко- и газофазное фторирование хлор- или бромпарафинов фтором в присут. неорг. фторидов.
В качестве агента фторирования в р-циях обмена галогена на фтор, а также в р-циях окислит. Фторирование кратных связей в полигалогенир. алкенах используют SbF3 (реакция Свартса). Иод и бром обмениваются легче, чем хлор. В случае полигалогенпроиз-водных полное перегалогенирование невозможно, т.к. по мере увеличения числа атомов F в молекуле дальнейшее фторирование затруднено из-за стерич. факторов, напр.:

Особенно легко замещается атом Cl, сопряженный с кратной связью, а также Cl в хлорангидридах к-т. Р-ция Свартса -пром. способ получения (фторир. соед.
Часто для заместительного фторирования используют газообразный безводный HF в присут. галогенидов Sb, Sn и др. при 70-150 0C и 0,6-2,5 МПа либо в присут. катализатора (AlF3, CrF3 и др.) при нагревании, напр.:

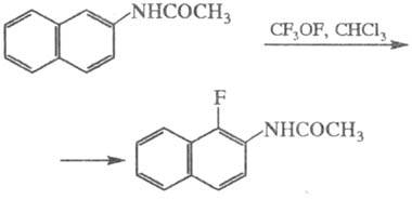
Эффективными реагентами для замещения водорода на фтор в ароматич. системах служат гипофториты RFOF (RF -перфторир. орг. радикал):

Гипофториты присоединяются также по двойной связи оле-финов, образуя фторалкоксипроизводные и фтортеломеры, напр.:

В пром. орг. синтезе широко применяют электрохим. фторирование. Процесс осуществляют в электролитич. ванне, содержащей безводный HF, на Ni-аноде при 5-6 В (р-ция Саймонса). Метод наиб, удобен для фторирования низкомол. соед. вследствие меньшей деструкции фгорир. молекулы, а также для фторирования соед., содержащих функциональные группы (амины, карбо-новые к-ты и др.), напр.:

Преимущество электрохим. фторирования- простота аппаратуры и дешевый источник фтора.
Соед., содержащие карбонильную группу, фторируются SF4 в присут. HF, BF3; р-ция происходит через промежут. образование реакционноспособного иона SF+3, напр.:

Для фторирования галогенсодержащих орг. соед. применяют галоген-фториды, напр.:

Фторирование ароматич. соед. осуществляют чаще всего через диазо-ниевые соли по Шимана реакции. Для получения перфторир. ароматич. соед. можно использовать действие KF в апротон-ном р-рителе или без него при повышенной т-ре на другие галогенароматич. соединения; этим методом можно получить целую гамму полифторпроизводных, напр.:

Фторирование орг. соед. используют для синтеза хладонов, заменителей крови, фторолефинов - мономеров для получения термостойких и химически стойких полимеров и др.
Лит.: Фтор и его соединения, под ред. Дж. Саймонса, пер. с англ., т. 1-2, M., 1953-56; Шеппард У., Шартс К, Органическая химия фтора, пер. с англ., M., 1972; ИсикаваН., Кобаяси E., Фтор. Химия и применение, пер. с япон., M., 1982; Новые фторирующие реагенты в органическом синтезе, Новосиб., 1987; Промышленные фторорганические продукты. Справочник, Л., 1990. Б.Н. Максимов.
Фторирование неорг. соед. может осуществляться водными ("мокрыми") и неводными (термич., "сухими") методами. Реагентами для фторирования водными методами служат фтористоводородная к-та, кремнефтористоводородная к-та, р-ры NH4F, NH4HF2, реже - р-ры других фторидов металлов либо смеси CaF2, NaF, NH4HF2 с H2SO4 или др. к-тами. Таким путем получают чаще всего малорастворимые фториды (AlF3, UF4, ZrF4, CaF2, NaF) или фторометаллаты (Na3AlF4, Na2SiF6, K2TaF6). Из-за необходимости фильтрования, сушки, а для хорошо раств. фторидов и фторометаллатов - выпаривания выход продуктов низкий. Фториды, получаемые из водных р-ров, как правило, имеют меньший размер частиц, меньшую насыпную плотность и более высокую степень чистоты, чем получаемые неводными методами. Водными методами не м. б. получены фториды, склонные к гидролизу и обладающие сильными окислит. св-вами.
Фторирование неводными методами осуществляют с помощью газообразных (F2, HF, галогенфгориды, NF3, CF4, хладоны, SF6), жидких (HF, HSO3F, галогенфториды, р-ры NOF, NO2F и др. фторидов в HF, расплавы KHF2, KH2F3, NH4HF2) или твердых (NaF, CoF3, MnF4, Na2SiF6, K2SiF6) в-в.
Газообразные фторирующие агенты активируют с помощью УФ или ИК облучения (напр., лазерохим. активация SF6), катализа (введение в зону р-ции твердых, реже газообразных катализаторов либо термокаталитич. генерирование атомного F) или разл. видов электрич. разряда (напр., разложение и ионизация CF4 или хладонов в плазме). Нек-рые р-ции проводят под давлением, р-ции с участием ионизир. и атомизир. газов - в вакууме, отдельные процессы с участием F2- в режиме горения, напр, при получении UF6, SF6, XeF6 и др.
При газофазном фторировании фторируемые соед. м. б. в виде р-ра в нелетучих инертных р-рителях (жидкий HF при низких т-рах, фторир. углеводороды) либо расплава (эвтектич. смесь LiF -NaF-KF).
Жидкие среды используют для электрохим. Фторирование, напр, электролизом расплава NH4HF2 получают NF3.
Неводные методы позволяют получать любые фториды и гидроксифториды, в т. ч. летучие, легко гидролизующиеся и обладающие окислит. действием.
Фторирование происходит, как правило, постадийно с образованием сначала низших, затем высших фторидов. На промежут. стадии фторирования оксидов могут образовываться оксифториды, а при фторировании смесей в-в - фторометаллаты.
Фторирование применяют в металлургии для получения фторидов редких и нек-рых цветных металлов; для получения компонентов керамики, стекол, ситаллов и др. Фторирование вместе с процессами пирогидролиза фторидов входит в прир. цикл фтора.
2) Искусственное обогащение питьевой воды, а также зубных паст и пищ. продуктов соед. фтора с целью регулирования его содержания в организме человека. Суточная доза фторид-иона для человека составляет 0,5-1,0 мг. Дефицит его ухудшает кроветворение, ослабляет защитные функции организма, вызывает заболевание кариесом. Избыток фторид-иона приводит к патологич. изменениям зубов и костей скелета, органов кроветворения, нервной и др. систем.
Фторирование- одна из операций, применяемых при подготовке питьевой воды. Проводят на станциях водоочистки (при условии, что исходная концентрация фторид-иона менее 0,5 мг/л) путем р-рения небольших кол-в Na2SiF6 или NaF. Природные воды, напротив, подвергают обесфториванию. Для предотвращения кариеса фториды (SnF2, NaF и др.) вводят в качестве добавки в зубные пасты. В последнее время целесообразность фторирования воды ставится под сомнение.
Лит,: Руководство по неорганическому синтезу, под ред. Г. Брауэра, пер. с нем., т. 1, M., 1985; Раков Э.Г., Химия и технология неорганических фторидов, M., 1990. Э.Г. Раков.