Диазепины
ДИАЗЕПИНЫ, мол. м. 94,10. Различают 1,2-, 1,3- и 1,4-диазепины (ф-лы I-III соотв.).
Для каждого диазепина возможны 4 таутомера, напр., для 1,2-диазепина 1Н-, 3Н-(ф-ла I), 4Н- и 5Н-изомеры. Незамещенные диазепины не известны; наиб. значение имеют гидрированные диазепины и бензодиазепины. 1Н-1,2-Диазепины в кислом р-ре протонированы по атому С-4 и изомеризуются в N-иминопиридиниевые илиды:
Под действием света образуют циклобутенодигидропиразолы ф-лы IV. В присут. муравьиной и трифторуксусной к-т 1Н-1,2-диазепины димеризуются, в присут. оснований (напр., RONa) превращаются в 2-аминопиридины. Под действием NaBH4 восстанавливаются в 1Н-2,3-дигидро-1,2-диазепины; гидрирование над Pd приводит к 1Н-тетрагидро-1,2-диазепинам.
Получают 1Н-1,2-диазепины фотоизомеризацией N-иминопиридиниевых илидов:
3H-1,2-Диазепины получают нагреванием b-замещенных N-тозилгидразонов ненасыщенных кетонов. 4H-1,2-Диазепины в кислой среде протонируются по атому N-1 и превращаются в смесь пиразолов и пиридинов. При нагр. 4H-1,2-диазепинов происходит сужение кольца с образованием пиридазинов. Получают взаимод. гидразина с пирилиевыми или тиопирилиевыми солями, а также фотолизом диазаноркарадиена, напр.:
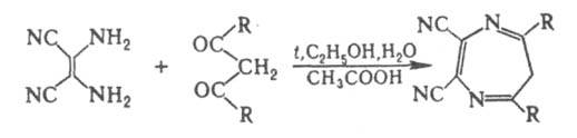
Все 1,2-диазепины обладают св-вами диенов и присоединяют тетрацианэтилен по типу р-ции Дильса - Альдера. 1,3-Диазепины изучены мало. Их получают взаимод. производных имидазола с диметиловым эфиром ацетилендикарбоновой к-ты; тетрагидропроизводные - из бензонитрила и 1,4-диаминобутана; гексагидропроизводные - из тетраметилендиизоцианата и воды. Дигидропроизводные 1,4-диазепинов устойчивы по отношению к дегидрированию, окислению, гидролизу. Катион дигидро-1 4-диазепиния легко вступает в р-ции электроф. замещения. Гидрирование, галогенирование, нитрование и диазосочетание идут в положение 6. 6H-Производные получают конденсацией 1,2-диаминоалкенов с 1,3-дикарбонильными соед., напр.:
Литература
Общая органическая химия, пер. с англ., т. 8, М., 1985, с. 725.
Синонимы/примеры:*
Диазепин; 1,4-диазепин
*подобраны ИИ, возможны неточности
Ещё по теме
Диазепам — свойства и методы обнаружения
Диазосоединения — строение, свойства и применение
Дипразин — свойства и методы обнаружения
Диазосоединения — свойства и применение
Диазоаминосоединения — особенности и применение
Дибензоксазепин — свойства и применение
Диазометан — характеристики и применение
Свойства и получение 3,3-диметилдиазиридина
Дипразин — свойства и применение