Азотолы-ариламиды 3-гидрокси-2-нафтойной кислоты

АЗОТОЛЫ-АРИЛАМИДЫ З-ГИДРОКСИ-2-НАФТОЙНОЙ КИСЛОТЫ

Марка
Заместитель в ариламидном остатке (см. ф-лу I)
Положение заместителя
А
-
-
ДМА.
ОСН3
ОСН3
2
3
МНА.
NO2
3
ОТ
СH3
2
ПА
ОСН3
'4
ХА.
С1 осн.
5

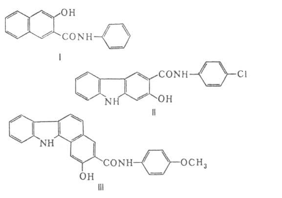
В названиях азотолов буквы после слова "азотол" означают природу амина, входящего в состав ариламида 3-гидрокси-2-нафтойной к-ты (напр., А-анилин, МНА-м-нитроанилин, ОТ-о-толуидин), или цвет красителя, получаемого с участием данного азотола. Азотолы этой группы синтезируют нагреванием З-гидрокси-2-нафтойной к-ты с анилином или его замещенными в орг. р-рителе (обычно хлорбензоле) в присут. РCl3. Используют их гл. обр. для получения красновато-оранжевых, алых и красных цветов, реже черных и коричневых.
1008-49.jpg

Для окраски в желтый цвет применяют азотолы, представляющие собой ариламиды1008-50.jpgкетокислот, чаще всего ацетоуксусной, а также бензоилуксусной к-ты, напр. азотол 2Ж-продукт взаимод. 4-хлор-2,5-диметоксианилина с дикетеном или ацетоуксусным эфиром. Коричневые и черные окраски получают, используя азотолы К и Ч (производные карбазола; ф-лы соотв. II и III), темно-зеленые-ариламиды З-гидрокси-2-антраценкарбоновой к-ты, ярко-зеленые -производные фталоцианина Сu (см. Фталоцианиновые красители).

Азотолы-кристаллич. в-ва; практически не раств. в воде, хорошо раств. в этаноле, пиридине, плохо-в эфире. При нагр. с водными р-рами щелочей образуют р-римые в воде соли.

Азоамины -первичные ароматич. амины, применяемые в кач-ве диазосоставляющих, напр. 2-нитроанилин (азоамин оранжевый О), 2-хлор-5-трифторметиланилин (азоамин ярко-оранжевый К), 4-нитро-2-аминотолуол (азоамин алый Ж), 4-хлор-2-аминотолуол (азоамин красный С). В названиях азоаминов после слова "азоамин" и указания цвета ставят букву, обозначающую оттенок наиб. важного красителя, получаемого с участием данного азоамина.

На предприятиях текстильной пром-сти азоамины диазотируют, р-р полученного диазосоединения наносят на ткань, пропитанную р-ром азотола и щелочи. Для крашения в цвета от желтого до бордо обычно используют замещенные анилина и о-толуидина, содержащие не менее одного электроноакцепторного заместителя, чаще всего NO2 и Сl, реже CN, CF3, SO2R, SO2N(R2) и др. Наличие этих групп обеспечивает и прочность окрасок. Азоамины часто содержат группы СН3 и ОСН3, углубляющие цвет окрасок; ОСН3 повышает также яркость. Для крашения в темно-фиолетовые, коричневые и черные цвета применяют азоамины, содержащие, кроме группы NH2, арилазогруппу, значительно углубляющую цвет окрасок, напр.:
1008-51.jpg

Азоамин темно-фиолетовый К: X = Y'= CH3, X'= NО2, Y=OCH3 . Азоамин коричневый: X = СН3, X' = С1, Y = OCH3, Y'= N02 . Азоамин черный К: X =Y= ОСН3, X' =Н, Y'= NО2

Для крашения в синий цвет чаще всего применяют 4-амино-4'-метоксидифениламин (азоамин синий О).

Азоамины-кристалл ич. в-ва; плохо раств. в воде (лучше раств. их соли минер. к-т), хорошо - в этаноле, пиридине и др. орг. р-рителях. Применение азоаминов связано с необходимостью их диазотирования; эта операция не характерна для текстильных предприятий и технически относительно сложна. Поэтому большое значение приобрели диазоли, получаемые из азоаминов на заводах, производящих красители.

Диазоли-стойкие формы диазосоединений. Чаще всего это двойные соли диазония с ZnCl2, напр. диазоль алый К (ф-ла V), а также соли с ароматич. сульфокислотами, обычно нафталин-1,5-дисульфокислотой, реже соли диазония с HBF4. Необходимость превращения диазосоединений в диазоли вызвана взрывоопасностью и неустойчивостью первых при хранении как в твердом состоянии, так и в виде конц. р-ров. Для большей взрывобезопасности стабилизир. соли диазония смешивают еще и с наполнителями, напр. с Na2SO4 или Al2(SO4)3 в соотношении 1:1. Нек-рые наиб. устойчивые соляно- или сернокислые соли диазония стабилизируют только смешением с наполнителем; так получают диазоль синий О (VI).
1008-52.jpg

Названия диазолей строятся по тому же принципу, что и азоаминов. Диазоли - кристаллич. в-ва; хорошо раств. в воде. При нагр. и ударе могут воспламеняться; их пылевоздушные смеси взрывоопасны. При удалении из диазолей наполнителей промывкой водой они становятся взрывоопасными. Хранить диазоли можно при 20-25 °С. Диазаминолы-эквимолярные смеси азотолов с диазоаминосоединениями (триазенами). Последние синтезируют. диазотируя азоамины и действуя на полученные соли диазония аминами-стабилизаторами:
1008-53.jpg

В процессе крашения при нагр. в кислой или нейтральной среде р-ция идет справа налево; катион диазония на волокне быстро образует с азотолом, входящим в состав диазаминола, нерастворимый азокраситель, а амин-стабилизатор, хорошо р-римый в воде, смывается с ткани в виде соли Na.

Диазоаминосоединения достаточно хорошо раств. в воде; они не взрывоопасны и устойчивы при хранении. Т.к. кислая среда вызывает коррозию оборудования, большее применение нашли Диазоаминосоединения, распадающиеся на исходные составляющие в нейтральной среде при 103-105 °С (в названиях диазаминолов, содержащих такие Диазоаминосоединения, стоит буква Н).

Устойчивость диазоаминосоединений тем больше, чем выше основность аминов-стабилизаторов и чем ниже основность азоаминов. Поэтому при получении диазаминолов исходят из не слишком основных аминов-стабилизаторов и не очень малоосновных азоаминов.

Амины-стабилизаторы должны содержать группы СООН и (или) SO3H, придающие им (а следовательно, и диазоаминосоединениям) р-римость в воде и снижающие основность. Если стабилизатором служит первичный амин, возможно таутомерное превращение Диазоаминосоединения (а):
1008-54.jpg

При нагр. б распадается, давая катион диазония RN+2, содержащий группы СООН и (или) SO3H и образующий водорастворимый краситель. Во избежание этого в кач-ве стабилизаторов обычно применяют вторичные амины, значительно реже первичные (они должны быть менее ос-новны, чем азоамины); наиб. часто используемые стабилизаторы-4-(или 5)-сульфо-2-аминобензойные к-ты и их N-моноалкилпроизводные, 2-(N1008-55.jpgгидроксиэтиламино)бензойная и 2-(N-глициламино)бензойная к-ты, метиламиноуксусная к-та (саркозин), метиламиноэтансульфокислота (метилтаурин).

Азоамины, наиб. часто используемые для синтеза диазаминолов,-оранжевый О, красные К, С и 4С (соотв. 2-нитроанилин, 5-хлор-2-метоксианилин, 4-хлор-2-аминотолуол и 2-нитро-2-аминотолуол).

Диазаминолы вводят в состав печатных красок, предварительно смешав их в теплой воде с NaOH для растворения азотола, р-рителем (этанол, целлозольв или мочевина) и антиоксидантом-Nа-солью м-нитробензолсульфокислоты (лудигол). Окраску напечатанной ткани проявляют при 103-105°С в течение 3-5 мин.

Азотолы-ариламиды применяют для крашения и печатания тканей из хлопка и вискозного волокна. Азоамины и азотолы используют также для синтеза азокрасителей, особенно азопигментов.

Холодное крашение введено в практику в 1880 (азосоставляющей служил1008-56.jpgнафтол, диазосоставляющей -n-нитробензолдиазоний).

Литература

Емельянов А. Г., Продукты для азоидного крашения в текстильной промышленности, М., 1967; Красители для текстильной промышленности, М., 1971; Степанов Б. И., Введение в химию и технологию органических красителей, 2 изд., М., 1977. М.А. Чека.тн.