Нуклеозидные антибиотики
НУКЛЕОЗИДНЫЕ АНТИБИОТИКИ, группа антибиотиков, имеющих строение нуклеозидов; их молекулы состоят из моносахарида, связанного гликозидной связью с N- или С-атомами гетероцикла (агликона). Нуклеозидные антибиотики способны участвовать в росте или функционировании разл. биол. систем, причем небольшие изменения в структуре нуклеозидных антибиотиков часто ведут к принципиальному изменению типа биол. действия.
Большинство нуклеозидных антибиотиков-структурные аналоги прир. нуклеозидов и м.б. разделены на пуриновые и пиримидиновые антибиотики. Далее можно выделить разл. группы с учетом структурных изменений в агликоне или в углеводной части. Общепринятой классификации нуклеозидных антибиотиков нет.
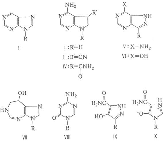
Известны нуклеозидные антибиотики, близкие по строению пуриновым и пири-мидиновым компонентам РНК, отличающиеся от них лишь заместителями в гетероцикле, напр. 9-b-D-рибофуранозил-пурин (небулярин; ф-ла I). Многочисл. группу составляют нуклеозидные антибиотики, содержащие в молекуле гетероциклич. основания, отличные от оснований в нуклеиновых к-тах. Примерами могут служить N-нуклеозиды пирроло[2,3-d]-пиримидина-туберцидин (II), тойокамицин (III), сангивамицин (IV), а также С-нуклео-зиды пиразоло[4,3-d]пиримидина - форми-цин (V) и формицин В (VI). Эти в-ва включаются в нуклеиновые к-ты и(или) нуклеотиды-коферменты, препятствуя их нормальному функционированию; очень токсичны; нек-рые из них обладают высокой противовирусной или противоопухолевой активностью. Коформицин (VII) и 2'-дезоксикоформицин - аналоги переходного состояния дезаминирования аденозина под действием аденозин-дезаминазы, ингибиторы этого фермента; используются в клинике для потенцирования биол. эффекта нек-рых лек. препаратов, обладают высокой противоопухолевой и имму-носупрессорной активностью.


Наиб. важный представитель пиримидиновых нуклеозидных антибиотиков, модифицированных по агликону,-притиволейкозный препарат 5-азацитидин (VIII). После фосфорилирования в клетке он включается в нуклеиновые к-ты и ингибирует метилирова-ние последних. К нуклеозидным антибиотикам группы азолов относят, в частности, пиразофурин (IX) и брединин (X). Первый из них ингибирует биосинтез пиримидиновых нуклеотидов, обладает противоопухолевой активностью; второй-иммуносупрессор, проявляет антиревматоидное действие.
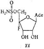
Пуриновые нуклеозидные антибиотики с измененной углеводной частью молекулы включают: аденинарабинозу (Ара-А; см. Противовирусные средства); кордицепин (3'-дезоксиаденозин, XI)-терминатор роста цепей РНК; псикофуранин (XII)-ингибитор биосинтеза гуанозинмонофосфата. Высокой противоопухолевой и противовирусной активностью обладают цикло-пентановые аналоги аденозина, сохранившие конфигурацию его асимметрич. центров: аристеромицин (XIII)-ингибитор биол. метилирования, и неопланоцин (XIV)-ингибитор биосинтеза РНК. К аналогам аденозина относится также нуклеоцидин (XV), к-рый связывает рибосомы и таким образом подавляет синтез белка.


XVI
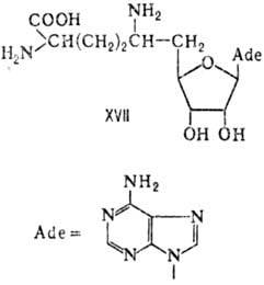
Примерами нуклеозидных антибиотиков, содержащих аминогруппу в кольце рибозы, служат ингибиторы биосинтеза РНК 2'-амино-2'-дезоксигуанозин и 3'-амино-3'-дезоксианозин. Др. тип биол. действия установлен у аминоациламинонуклеозидов, наиб. важный представитель к-рых-пуромицин (XVI)-аналог аминоацил-тРНК, катализатор, отщепляющий неполные пептидные цепи от комплекса пептидил-тРНК-рибосома с образованием пептидилпуромицина; терминатор пептидного синтеза. Синефунгин (XVII) и родственные ему нуклеозидные антибиотики-ингибиторы метилтранс-феразы.
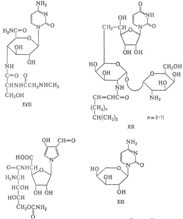
К пиримидиновым нуклеозидным антибиотикам, модифицированным по моно-сахариду, относят производные аминоациламиногексозил-цитозинов (напр., гугеротин, XVIII), к-рые ингибируют рибосомальную пептидилтрансферазу, что останавливает пептидный синтез. Туникамицины (XIX)-структурные аналоги уридиндифосфатацетилглюкозамина-подавляют процессы сборки, выделения и функционирования гликопро-теидов. У т.наз. полиоксинов агликонами служат замещенный урацил или пиразол (как, напр., в случае полиоксина N, XX), а углеводной частью - замещенная 5'-амино-5'-дезокси-аллофуранозуроновая к-та. Эти соед.-сильные ингибиторы биосинтеза хитина. К нуклеозидным антибиотикам группы цитозина относят пенто-пиранины, напр. пентопиранин Е (XXI).

XX
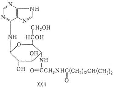
Среди нуклеозидных антибиотиков иног ,. да выделяют группу нуклеозидов, мод и ф и ц и р о в а н н ы х одновременно и по агликону, и по моносахариду. К ней можно отнести, в частности, септацидин (XXII), представляющий собой N-6-з а м е щ е н н ы й аденин.
Нуклеозидные антибиотики получают обычно микробиологич. реже хим. синтезом

Применяют гл. обр. в мед.-биол. исследованиях; лишь очень немногие из них (напр., 5-азацитидин, Ара-А) используют в мед. практике.
Лит.: Suhadolnik R.J., Nucleoside antibiotics, N.V., 1970; его же, Nucleo-sides as biological probes, N.Y., 1979. M. H. Преображенская.