Антрациклины

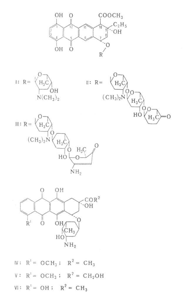
АНТРАЦИКЛИНЫ, антибиотики, представляющие собой гликозиды, в к-рых агликон (наз. антрациклиноном) - замещенный тетрагидронафтаценхинон. Заместителями служат: в гидроароматич. кольце - СООСН3, СОСН3, С2Н5, СН3, ОН (при С9 и С10), в ароматич. части - ОСН3 (обычно при С4) и ОН (при C1, С4, С6, С11). Чем больше гидроксильных групп в молекуле, тем сильнее батохромный сдвиг в спектре антибиотика.

Антрациклины образуются актиномицетами в виде смеси неск. компонентов, молекулы к-рых содержат одинаковые агликоны, но разные углеводные цепи. Антрациклины экстрагируют из культуральной жидкости и мицелия орг. р-рителями. Так выделена большая группа антибиотиков, содержащих в кач-ве агликона е-пирромицинон, напр. пирромицин (ф-ла Г), цине-рубин А (II), рудольфомицин (III). Последние два антрациклина интересны тем, что содержат остатки ранее неизвестных Сахаров - соотв. цинерулезы и реднозы. Известны также антрациклины, в к-рых агликоном служит аклавинон, напр. аклациномицин А (в ф-ле II вместо ОН в положении 1 находится Н).

Антрациклины - желтые или красные кристаллы; раств. в орг. р-рителях. наиб. значение в медицине имеют рубомицин (дауномицин), доксорубицин (адриамицин) и карминомицин (см. табл.). Первые два продуцируются Streptomyces coeruleorubidus, последний - Actionomadura carminata. Для строения молекул этих антрациклинов характерно наличие даунозамина (З-амино-2, 3, 6-тридезокси-1036-32.jpg L-ликсопиранозы). Получены сотни менее токсичных "полусинтетич." производных этих антибиотиков, к-рые, однако, по тем или иным причинам не используют в медицинской практике.

СВОЙСТВА АНТРАЦИКЛИНОВ
1036-30.jpg

1036-31.jpg

Антрациклины угнетают грамполо-жит. бактерии и обладают противоопухолевой активностью. Механизм их действия связан с нарушением синтеза нуклеиновых к-т. Антрациклины применяют для лечения злокачественных опухолей.

Литература

БорисовВ. И. [и др.], "Антибиотики", 1976, т. 21, №11, с. 1026-30; Антрациклины в раковой химиотерапии. Симпозиум, М., 1981; Antracyclines. Current status and new developments, ed. by S. Crooke, S. Reich., N.Y.-[a.o.], 1980; Arcamone F., Doxorubicin. Anticancer antibiotics, N. Y., 1981 (Medicinal chemistry, v. 14). М.Г. Бражникова.

Синонимы/примеры:* Доксорубицин; Даунорубицин; Эпирубицин; Идарубицин
*подобраны ИИ, возможны неточности