Противогрибковые средства
ПРОТИВОГРИБКОВЫЕ СРЕДСТВА (антимикотики), лек. в-ва, применяемые для лечения грибковых заболеваний (микозов). Противогрибковые средства делят: по способу использования-на ср-ва наружного (местного) и системного (внутрь, внутривенно) применения; по характеру противомикробного действия -на специфические (подавляют жизнедеятельность только грибковой клетки) и неспецифические (активны против большинства микроорганизмов); по типу противогрибкового действия-на фунгицидные и фунгистатические, соотв. вызывающие гибель возбудителя микоза или препятствующие его размножению; по спектру противогрибковой активности - широкого (действуют на подавляющее число грибков) и узкого (действуют на определенные роды и виды грибков) спектра; по способу получения-на природные (полиеновые и неполиеновые антибиотики) и синтетические (хим.) антимикотики.
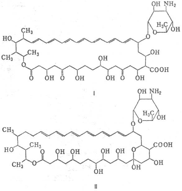
К неполиеновым антибиотикам широкого спектра действия относят, в частности, гризеофульвин и копиамицин (макроциклич. b-лактонный антибиотик, не имеющий сопряженных двойных связей) - высокоактивный фунгистатик. Полиеновые антибиотики широкого спектра действия включают микогептин (ф-ла I) и амфотерицин В (II). Последний представляет собой желтые или желто-оранжевые кристаллы, не раств. в воде и этаноле; механизм его действия объясняется способностью связываться стеринами клеточной стенки грибка и увеличивать ее прошщаемость; токсичность для человека обусловлена его взаимод. с холестерином мембран клеток организма. Примерами полиеновых антибиотиков узкого спектра действия служат нистатин и леворин. Комбинир. препарат амфоморонал представляет собой смесь амфотерицина В и нистатина.

Наиб. интерес представляют специфич. синтетические противогрибковые средства, среди к-рых выделяют производные имидазола, три-азола, тиокарбаминовой к-ты, пиридина и пиримидина, а также антиметаболиты (см. ниже). Производные имидазола характеризуются высокой специфичностью и активностью (не зависящей от длительности их применения), широким спектром действия. Все они-фунгистатики, легко проникают в роговой слой эпидермиса, отличаются низкой токсичностью для человека. К этой группе препаратов местного применения относятся клотримазол (канестен, 1-[(2-хлорфенил)дифенилметил]имидазол, III), эконазол (певанил, IV), изоконазол (травоген, V), миконазол (дактар, VI), бифоназол (микоспор, VII), сульконазол (VIII).
Исторически первый антимикотик системного применения-кетоконазол (низорал, IX)-обладает высокой активностью, широким спектром действия. Он способен проникать в ликвор, сальные и потовые железы, волосяные фолликулы. Механизм его действия состоит в торможении биосинтеза эргостерина клеточной стенки грибка, в нарушении ее проницаемости и внутриклеточном накоплении препарата. При применении кетоконазола возможны нарушения ф-ции печени, иммунной системы, половых желез (подавление синтеза тестостерона) и надпочечников.
Производные триазолов имеют более высокую противогрибковую активность по сравнению с производными имидазола. Многие из них можно принимать внутрь. Механизм их действия окончательно не изучен. Примерами этой группы противогрибковых средств могут служить терконазол (X), итракона-зол (XI) и фторконазол (XII).
К производным тиокарбаминовой к-ты относятся такие специфич. препараты местного применения, как толнафтат (тонофтал, XIII) и толцициклат (XIV). Представителем группы производных пиридина и пиримидина является циклопироксоламин (батрафен, XV)-специфич. фунгицид-ный антимикотик широкого спектра, местного применения; механизм его действия основан на подавлении трансмембранного транспорта аминокислот, ионов К+ и фосфатов в растущей клетке.












Из антиметаболитов (в-в, способных участвовать в биосинтезе вместо метаболитов) в качестве противогрибкового средства применяют чаще всего 5-фторцитозин (XVI)-системный фунгистатич. антимикотик узкого спектра действия. Препарат хорошо проникает в ликвор и др. жидкости организма человека, но возбудители микозов быстро вырабатывают устойчивость к нему. Механизм действия обусловлен нарушением синтеза нуклеиновых к-т грибковой клетки вследствие превращения его под влиянием цитозиндезаминазы в 5-фторурацил, к-рый соединяется с РНК грибка.
К неспецифич. синтетическим противогрибковым средствам местного применения относятся разные по строению и св-вам в-ва, напр.: 1) производные хинолина-клохинол (виоформ, виосепт, хино-зол, 7-иод-5-хлор-8-гидроксихинолин), декамин (деква-лин, XVII) и др.; 2) карбоновые к-ты, в частности салициловая, бензойная, 2-октилциклопропанкарбоновая (окти-цил), лауриновая, ундециленовая (мазь микосептин содержит эту к-ту и ее цинковую соль) и их производные; 3) производные фенола-нитрофунгин (смесь 4-нитро-2-хлор-фенола с триэтиленгликолем и этанолом) и др.; 4) фос-форорг. соединения, напр. хлорацетофос [диметило-вый эфир a-ацетокси-b,b,b-трихлорэтилфосфоновой к-ты (СН30)2Р(О)СН(СС13)ОС(О)СН3], октатион {О,О-диэтилтиофосфат октадециламмония
(C2H5O)2P(S)S-} и др.; 5) серосодержащие соед., напр. эсулан (XVIII); 6) красители-производные трифенилметана-бриллиантовый зеленый (см. Антисептические средства), малахитовый зеленый, кристаллический фиолетовый, фуксин; 7) производные бензотиазола, напр. амиказол (астерол, XIX).
Лит.: Машковский М. Д., Лекарственные средства, И изд., ч. .2, М., 1988; Degos R., Dermatologie, pt. 1-2, P., 1983; Co Hen J., "Lancet", 1982, № 8297, p. 532-37. В. А. Силин.