Антисептические средства

АНТИСЕПТИЧЕСКИЕ СРЕДСТВА (антисептики) (от греч. anti- - приставка, означающая противодействие, и septikos - вызывающий гниение).1. Хим. соед., используемые для предохранения от разрушения микроорганизмами древесины, пластмасс, текстиля, кож, пищ. продуктов и др. Этими ср-вами пропитывают или покрывают защищаемый материал либо вводят их в его состав как биоцидные добавки.

В кач-ве антисептических средств используются: соли Си и Zn; оловоорг. соед.; фенолы и бисфенолы; соед., способные выделять формальдегид (параформ, триоксан, гексаметилентетрамин, формалин, N-метилоламиды и др.); спирты; тиоцианаты; карбоновые к-ты, их эфиры и амиды; алкиламины (С1214); четвертичные соли аммония. Весьма эффективны ртутьорг. соед., но из-за высокой токсичности их применение сокращается.

Выбор антисептических средств обусловлен спектром его биоцидной активности, сроком действия, токсичностью и совместимостью с защищаемым материалом в условиях эксплуатации.

Для защиты древесины используют антисептические средства двух типов: 1) масла и р-ры орг. или металлоорг. соединений в орг. р-рителях; 2) водные р-ры неорг. в-в, иногда с добавкой р-римых в воде орг. соединений. Древесину пропитывают или наносят антисептические средства на ее пов-сть вместе с краской или лаком. Для пропитки шпал, свай и т.п. применяют кам.-уг. пропиточное масло (креозот), а также более легкие фракции кам.-уг. масла, сланцевое масло, сополимеры три бутилоловометакрилата с метилметакрилатом. Для пропитки деревянных строит. деталей чаще всего используют водные растворы неорг. антисептических средств - гл. обр. фториды щелочных металлов (KHF2, NaF), а также фторсиликаты Mg, Zn, Ca и Си, соединения бора3ВО3, Na2B4O7*10Н2О, полибораты Na). Эти р-ры содержат обычно 2-3 компонента, из к-рых один почти всегда - Na2Cr2O7 или К2Сг2О7, способствующий фиксации антисептических средств на волокнах древесины. Для защиты древесины от насекомых-ксилофагов в составы для пропитки древесины вводят также инсектициды (линдан, дильдрин, фоксим и др.).

Для пропитки и поверхностной обработки изделий часто используют орг. антисептические средства: бис-(трибутилолово)оксид, N-трифторметилтиофталимид (фолпет), N-трихлорметилтиотетрагидрофталимид (каптан), нафтенаты Си и Zn и др.

Для предохранения пластмасс и резин в полимерные композиции перед формованием вводят оловоорг. соед., галогенсалициланилиды, эфиры пентахлорфенола, бисфенолы, фолпет. Нек-рые ускорители вулканизации, напр. дитиокарбаматы и тетраметилтиурамдисульфид (ТМТД), также являются антисептическими средствами и обладают бактерицидным действием.

Для защиты натуральных тканей и вспомогат. текстильных материалов применяют фенолы (пентахлорфенол, 2-фенилфенол, 3-метил-4-хлорфенол), производные формальдегида, дихлорофен, салициланилид, а также нафтенат, олеат и 8-гидроксихинолят Си.

При выделке кож антисептическими средствами служат л-нитрофенол и его эфиры, З-метил-4-хлорфенол, 2,4,5-трихлорфенол, 2-фенилфенол, пентахлорфенол, четвертичные соли аммония, фториды и фторсиликаты щелочных металлов.

В клеевые и эмульсионные краски в кач-ве антисептических средств добавляют З-метил-4-хлорфенол, 2-фенилфенол, хлорацетамид, 3-бензизотиазолон, в др. краски-дитиокарбаматы, ТМТД, фолпет, метил-2-бензимидазолкарбамат и т.д. В т. наз. необрастающие краски, к-рые защищают днища кораблей и подводные конструкции от обрастания водорослями, моллюсками и др. организмами, вводят обычно Сu2О, (C4H9)3SnF, [(C4H9)3Sn]2O, а также оловосодержащие полимеры, напр. сополимер трибутилоловометакрилата с метилметакрилатом (1:1). Последние служат одновременно связующими; срок их защитного действия достигает 5 лет.

Для защиты клеев животного происхождения используют гл. обр. фенолы, для др. клеев-также бкс-(трибутилолово)оксид, 1-хлорбензальдоксим, производные формальдегида, 3-бензизотиазолон, эфиры n-гидроксибензойной к-ты, бензойную к-ту.

При произ-ве бумаги антисептические средства вводят в оборотную воду для борьбы со слизеобразованием и биообрастанием оборудования. Для этого применяют дитиокарбаматы, четвертичные соли аммония, оловоорг. соед., метилен-бис-тиоцианат, 2-меркаптобензотиазол и его производные.

Для стабилизации лекарственных и косметич. препаратов служат бензойная, сорбиновая и дегидрацетовая к-ты, эфиры n-гидроксибензойной к-ты, производные формальдегида, бензиловый и 2,4-дихлорбензиловый спирты, 2-феноксиэтанол, иногда ртутьорг. соединения и др.

К антисептическим средствам относятся также консервирующие добавки, применяемые в пищевой пром-сти,-сорбиновая и бензойная к-ты и их соли, эфиры n-гидроксибензойной к-ты, нитриты, нитраты, SO2 и сульфиты, пропионат Са, уксусная и муравьиная к-ты и др. Пропионовую, муравьиную и сорбиновую к-ты, а также NaHSO3 используют для консервирования кормов.

Антисептические средства добавляют также в смазочно-охлаждающие жидкости, нефтяные масла, топливо, замазки и герметики.

Обладая фунгицидной, бактерицидной, а иногда и инсек-тицидной активностью, многие антисептические средства применяются также в кач-ве ср-в защиты растений и дезинфекц. ср-в.

Литература

Исп. литература: Микроорганизмы и низшие растения-разрушители материалов и изделий, под ред. М.В. Горленко, М., 1979; Pau 11 О., в кн.: Chemie der Pflanzenschutz- und Schadlingsbekampfungsmittel, Bd 3, В., 1976, S. 259-90; BuchwaldG., в кн.: Chemie der Pflanzenschut?- und Schadlingsbekampfungsmittel, Bd 4, B, 1977, S. 257-73. Г.С. Швиндлерман.

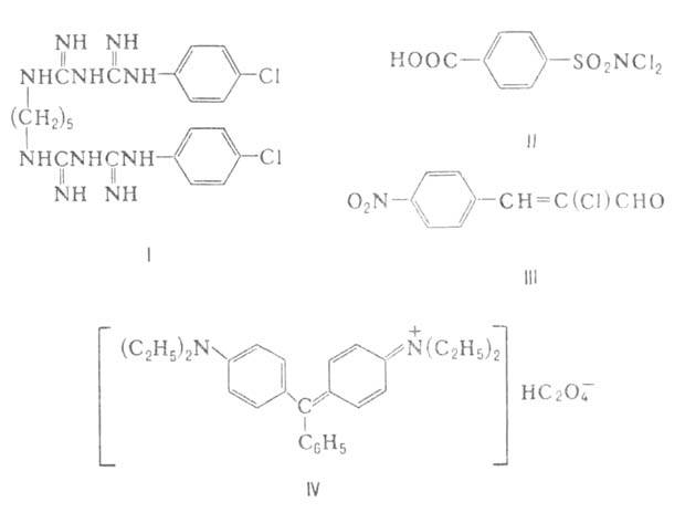
2. Антимикробные лек. в-ва для местного (наружного) применения при инфекционно-воспалит. заболеваниях слизистых оболочек, кожи, мягких тканей, полостей организма. Применяются также как консерванты для лек. ср-в, вакцинно-сывороточных препаратов, пищ. продуктов. Нек-рые, напр. роккал, являющийся смесью хлоридов алкилдиметилбензиламмония - [С6Н5СН21034-9.jpg(CH3)2R]C1- (R от С8Н17 до С18Н37), и хлоргексидин (ф-ла I), применяют для обеззараживания операционного поля и рук хирурга. В более высоких концентрациях, чем лечебные, могут служить дезинфекц. ср-вами.

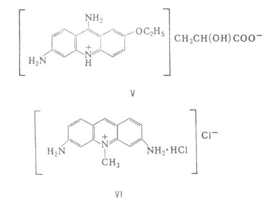
В кач-ве антисептических средств используют: 1) препараты, содержащие иод или хлор, - спиртовой р-р I2, р-р I2 в водном KI (р-р Люголя), йодоформ СН3l; хлорамин Б (бензолсульфохлорамид Na), хлорцианурат Na; пантоцид (N,N-дихлор-n-карбоксибензолсульфамид; II); 2) соли и оксиды тяжелых металлов - Hg2Cl2, HgCl2, HgO (ртуть желтая осадочная), орг. соед. Hg, AgNO3, сульфат и цитрат Си, сульфат и оксид Zn и др.; 3) салициловую и бензойную к-ты, а также борную к-ту Н3ВО3 и ее соль Na2B4O7 (бура); 4) ряд альдегидов, напр. формальдегид и препараты, разлагающиеся с его образованием (напр., гексаметилентетрамин), n-нитро1034-10.jpg хлоркоричный альдегид (циминал; III); 5) гидроксибен-золы и их производные, в т.ч. фенол, трикрезол (смесь о-, м- и n-крезолов), резорцин, фенилсалицилат; 6) красители, напр. метиленовый голубой, бриллиантовый зеленый (IV), риванол (лактат 2-этокси-6,9-диаминоакридиния; V), флавакридин - смесь гидрохлорида 3,6-диамино-10-метилакриди-нийхлорида (VI) и дигидрохлорида 3,6-диаминоакридина; 7) ПАВ, в частности N-цетилпиридинийхлорид, дихлорид 1,2 - этилен - бис - (N - диметилкарбодецилоксиметил) аммония (этоний) [(СН3)21034-13.jpg(СН2СООС10Н21)СН2]22Сl-, роккал; 8) прир. продукты, напр. берестовый деготь (см. Деготь древесный), озокерит ("горный воск"); препараты чеснока, лука, зверобоя, лишайников и др. растений, содержащих фитонциды; фермент лизоцим.
Хлоргексидин, пантоцид, циминал, бриллиантовый зеленый, риванол

1034-12.jpg

Литература

Исп. литература: Микроорганизмы и низшие растения-разрушители материалов и изделий, под ред. М.В. Горленко, М., 1979; Pau 11 О., в кн.: Chemie der Pflanzenschutz- und Schadlingsbekampfungsmittel, Bd 3, В., 1976, S. 259-90; BuchwaldG., в кн.: Chemie der Pflanzenschut?- und Schadlingsbekampfungsmittel, Bd 4, B, 1977, S. 257-73. Г.С. Швиндлерман.