§ 1. Бор
Элемент этот принадлежит к числу довольно распространенных: содержание его в земной коре составляет около 5·10–4 % – Скопления бора встречаются в виде кислородных соединений – борной кислоты (H3 BO3 ), буры (Na2 B4 O7 ·10Н2 О), ашарита (MgHBO3 ) и ряда более сложных минералов. Ежегодная мировая добыча соединений бора достигает 300 тыс. т. Важнейшими из них являются бура и борная кислота.
1) Борная кислота используется при эмалировании железных сосудов (вводится в состав эмалей) и в медицине (дезинфицирующие полоскания и т. д.), а также служит обычным исходным продуктом для получения остальных соединений бор"а. Бура применяется в ряде отраслей промышленности – стекольной, керамической, кожевенной и др. – из медицине.
В свободном состоянии бор может быть получен из борной кислоты. Нагреванием ее переводят в борный ангидрид (В2 О3 ), который затем накаливают с металлическим магнием:
B2 O3 +3Mg = 3MgO + 2B
После обработки продуктов реакции соляной кислотой (для удаления MgO) остается элементарный бор В чистом состоянии он имеет черный цвет, плотность 2,3, плавится при 2075°С и кипит при 3960°С.
В обычных условиях бор весьма инертен. Напротив, при высоких температурах он соединяется не только с кислородом, хлором и бромом, но также с серой и азотом. При очень сильном накаливании бор вытесняет свободные элементы даже из таких устойчивых окислов, как Р2 О5 , СО2 и SiO2 , а также из окислов многих металлов. При сплавлении бора с некоторыми из последних образуются бориды этих металлов, например борид магния – Mg3 B2 .
По отношению к воздуху и воде бор вполне устойчив. В обычных кислотах он не растворяется, но горячая концентрированная HNO3 постепенно окисляет его до борной кислоты:
В + 3HNO3 = Н3 ВО3 + 3NO2
Во всех устойчивых соединениях бор трехвалентен.
Наиболее характерны для бора кислородные соединения. При нагревании на воздухе до 700°С он сгорает по уравнению:
4В + ЗО2 = 2В2 О3
Образующийся борный ангидрид представляет собой бесцветную, довольно тугоплавкую стекловидную массу.
На воздухе В2 О3 притягивает влагу, а в воде растворяется с образованием борной кислоты.
В2 О3 + ЗН2 О = 2Н3 ВО3
Борная (точнее – ортоборная) кислота представляет собой бесцветные кристаллы. При нагревании она теряет воду и переходит сначала в метаборную кислоту (НВО2 ), затем в тетраборную (Н2 В4 О7 ) и, наконец, в борный ангидрид. Растворение этих веществ в воде сопровождается их переходом в Н3 ВО3 .
Диссоциация гидрата В(ОН)3 в растворе идет по кислотному типу. Однако борная кислота очень слаба и поэтому из растворов своих солей легко выделяется большинством других кислот. Соли ее (борнокислые, или бораты) производятся обычно от различных полиборных кислот общей формулы xВ2 О3 ·yН2 О, чаще всего – тетраборной (х = 2, y = 1). Последняя является кислотой значительно более сильной, чем ортоборная.
Соли Н2 В4 О7 образуются при нейтрализации H3 BO3 щелочами, например, по схеме:
2NaOH + 4Н3 ВО3 = Na2 B4 O7 + 7Н2 О
Избытком щелочи они могут быть переведены в метабораты: 2NaOH + Na2 B4 O7 = 4NaBO2 + Н2 О
С другой стороны, при действии на тетрабораты (или метабораты) сильных кислот выделяется свободная ортоборная кислота:
Na2 B4 O7 + H2 SO4 + 5Н2 О = Na2 SO4 + 4Н3 ВО3
В воде из боратов растворимы только соли наиболее активных одновалентных металлов. Вследствие гидролиза растворы их показывают сильнощелочную реакцию. Важнейшим для практики боратом является бура.
Так как безводные бораты чрезвычайно устойчивы по отношению к нагреванию, при высоких температурах борная кислота выделяет большинство других кислот из их солей. В этом отношении (как и по своей слабости) она похожа на кремневую кислоту.
2) Борная кислота (K1 = 6·10–10, K2 = 2·10–13, K3 = 2·10–14) окрашивает пламя в зеленый цвет и несколько летуча с водяным паром, Тетраборной кислоте (K1 = 2·10–4, K2 = 2·10–5) может быть придана структурная формула:

Из солей различных полиборных кислот многие встречаются в природе и служат исходными продуктами для получения соединений бора.
3) Сульфид бора (B2 S3 ) образуется в виде бесцветной стекловидной массы при накаливании бора в парах серы. Водой он полностью разлагается на борную кислоту и H2 S. С азотом бор соединяется только выше 1200 °С. Нитрид бора (BN) представляет собой белый порошок, плавящийся лишь около 3000 °С (под давлением). По кристаллической структуре BN сходен с графитом.
Карбид бора (В4 С) образуется в виде черных блестящих кристаллов принакаливании смеси бора (или В2 О3 ) с углем в электрической печи. Он отличается тугоплавкостью (т. пл. 2550 °С) и чрезвычайной твердостью (близкой к твердости алмаза). И нитрид и карбид бора характеризуются большой устойчивостью по отношению к различным химическим воздействиям.
Галоидные соединения бора общей формулы ВГ3 могут быть получены путем взаимодействия элементов при нагревании. Они представляют собой бесцветные вещества. При обычных условиях BF3 газообразен, ВСl3 кипит при + 18°С, ВВr3 – жидкость и BJ3 –твердое тело. В водном растворе все они подвергаются гидролизу по схеме:
ВГ3 + ЗН2 О = В(ОН)3 + ЗНГ
Для галогенидов бора весьма характерны реакции присоединения к ним молекул различных других веществ. В частности, фтористый бор образует продукт присоединения с HF:
HF + BF3 = H[BF4 ]
Комплексная борофтористоводородная кислота (HBF4 ) устойчива только в растворе, причем ее кислотные свойства выражены значительно сильнее, чем у HF. Большинство солей HBF4 (фтороборатов) бесцветно и легкорастворимо в воде. Как и в случае кремния, аналогичные производные с другими галоидами не образуются.
4) Строение молекул галогенидов ВГ3 отвечает плоскому треугольнику с атомом В в центре. Некоторые их свойства сопоставлены ниже:

При образовании галогенидами бора комплексов с другими веществами атом В выступает в качестве акцептора (IX § 2 доп. 1). Поэтому присоединяться к молекулам ВГ3 способны только молекулы, содержащие атом с достаточно отчетливо выраженной до норной функцией.
По ряду F–Сl–Br–J склонность молекул ВГз к комплексообразованию довольно быстро уменьшается. Фтористый бор является хорошим катализатором различных органических реакций. Вследствие образования HBF4 гидролиз BF3 идет несколько иначе, чем в случае остальных галогенидов бора, а именно по суммарной схеме: 4BF3 + 3H2 O = 3HBF4 + B(OH)3 .
С водородом бор не соединяется, однако при действии кислот на Mg3 B2 одновременно со свободным Н2 выделяются небольшие количества смеси различных бороводородов (иначе, боранов), среди которых преобладает В4 Н10 . Последний легко распадается на В2 Н6 и ряд других боранов, более бедных водородом.
Бораны бесцветны и по физическим свойствам очень похожи на углеводороды и силаны аналогичного состава, как это видно из приводимого ниже сопоставления:

По химическим свойствам они похожи на силаны. Так же как и последние (и даже в еще большей степени), бораны при обычных условиях неустойчивы. В частности, водой они постепенно разлагаются с выделением водорода по реакции, например
В2 Н6 + 6Н2 О = 6Н2 + 2Н3 ВО3
а получаемая при разложении Mg3 B2 кислотами газовая смесь на воздухе самовоспламеняется. Горение боранов сопровождается выделением огромного количества тепла (484 ккал/моль В2 Н6 ), что создает возможность их использования в качестве очень эффективного ракетного топлива.
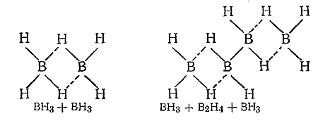
5) Так как бор трехвалентен, его водородными соединениями должны были бы быть такие молекулы, как ВН3 , В2 Н4 , В3 Н5 и т. д. Между тем бораны подобного состава неизвестны.
Молекулы летучих бороводородов следует, по–видимому, рассматривать как результат сочетания друг с другом приведенных выше валентнонасыщенных структур при посредстве особого рода водородных связей. Так, строение В2 Н6 и В4 Н10 выражается с этой точки зрения следующими схемами:

Лучше других изучены шесть бороводородов, температуры плавления и кипения которых приводятся ниже:

Все эти бораны имеют отвратительный запах и очень ядовиты.