Противопротозойные средства
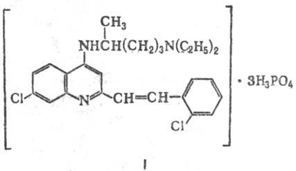
ПРОТИВОПРОТОЗОЙНЫЕ СРЕДСТВА, лек. в-ва для лечения и профилактики заболеваний, вызванных простейшими,-малярии, лейшманиоза, трипаносомоза, трихомоноза, амёбиаза, лямблиоза и др. В качестве противопротозойных средств используют препараты растит. происхождения (алкалоиды эметин и хинин), нек-рые антибиотики, напр. амфотерицин В (см. Макролиды), и тетрациклины, а также синтетич. соединения. Последние имеют наиб. значение. К ним, в частности, относят: 1) производные 4-аминохинолина, напр. аминохи-нол (ф-ла I) и хлорохин (II). Первый представляет собой желтые кристаллы, т. пл. 196-198 °С, плохо раств. в воде, практически не раств. в этаноле; применяется для лечения лямблиоза и кожного лейшманиоза. Дифосфат хлорохина (хингамин, делагил, резохин)-бесцв. кристаллы, т. пл. 216-218°С, хорошо раств. в воде, плохо-в этаноле, не раств. в диэтиловом эфире и хлороформе. При подщелачивают его р-ров выделяется основание (т. пл. 88-89 °С), хорошо раств. в орг. р-рителях и не раств. в воде. Дифосфат хлорохина-ср-во для лечения острых проявлений малярии. Так же используют гидроксихлорохин (плаквенил, III) и сульфат хлорохина (нивахин, т. пл. 210°С).



2) Производные 8-аминохинолина применяют гл. обр. для предупреждения рецидивов и профилактики малярии. К ним относят трихомонацид, примахин (IV) и хиноцид (V). Примахин-оранжево-красные кристаллы, т. пл. 202-205 °С, раств. в воде, не раств. в диэтиловом эфире и хлороформе; в водных р-рах щелочей образует основание с т. кип. 175-179 °С/2 мм рт. ст. Хиноцид-желтые кристаллы, т. пл. 226-227 °С, хорошо раств. в воде, хуже-в этаноле, не раств. в диэтиловом эфире и бензоле. В щелочном водном р-ре образует основание с т. пл. 46 °С, хорошо раств. в орг. р-рителях и не раств. в воде.
3) Производные нитроимидазола-метронидазол (фла-гил, трихопол, клион, VI) и тинидазол (фасижин, VII), обладающие широким спектром действия в отношении простейших. Наиб. значение имеет метронидазол-бесцв. кристаллы, т. пл. 158-161 °С, раств. в кипящей воде и этаноле, плохо раств. в холодной воде, практически не раств. в диэтиловом эфире и хлороформе.
4) Хлоридин (пириметамин, VIII)-бесцв. кристаллы, т. пл. 238-241 °С, не раств. в воде, плохо раств. в этаноле и хлороформе. При нагр. с концентрир. НС1 с послед. добавлением р-ра I2 образует бурый осадок, р-римый в р-ре гипосульфита. Применяют для профилактики малярии.
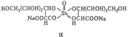
5) Солюсурьмин (IХ)-бесцв. порошок без запаха, раств. в воде с образованием опалесцирующих р-ров, практически не раств. в этаноле. Содержит 21-33% сурьмы. Применяют для лечения висцерального лейшманиоза.



6) Акрихин (X)-желтые горькие кристаллы, т. пл. 248-250°C (с разл.), раств. в воде (до 3%) и этаноле, почти не раств. в диэтиловом эфире и хлороформе. Р-ры акрихина флуоресцируют. В присут. щелочей образует основание с т. пл. 86-88°С. Вследствие сильного побочного действия в медицине практически не используется.
Лит.: Лекарственные препараты, применяемые при паразитарных заболеваниях, под ред. А. И. Кротова, М., 1979; Найт Р., Паразитарные болезни, пер. с англ., М., 1985. В. В. Петерс.