Макролиды
МАКРОЛИДЫ, лактоны с числом атомов в цикле более 8; могут содержать разл. заместители, в т.ч. функц. группы, а также одну или неск. связей С=С. Известны макролиды с двумя или более лактонными группами. Макролиды - обычно твердые в-ва; хорошо раств. в орг. р-рителях и р-рах к-т, плохо - в воде. По хим. св-вам близки к низшим лактонам, но обладают меньшей реакц. способностью, напр. не подвергаются щелочному гидролизу.
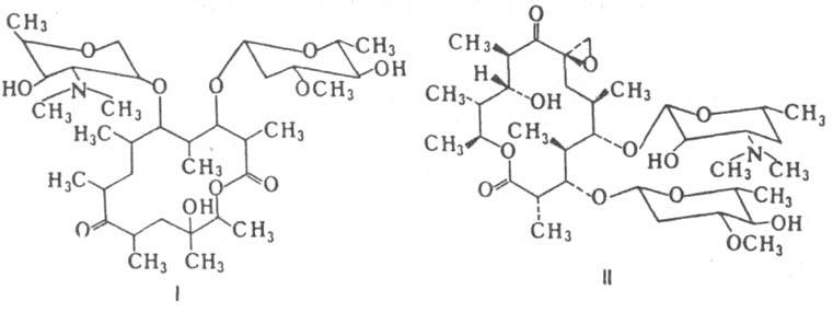
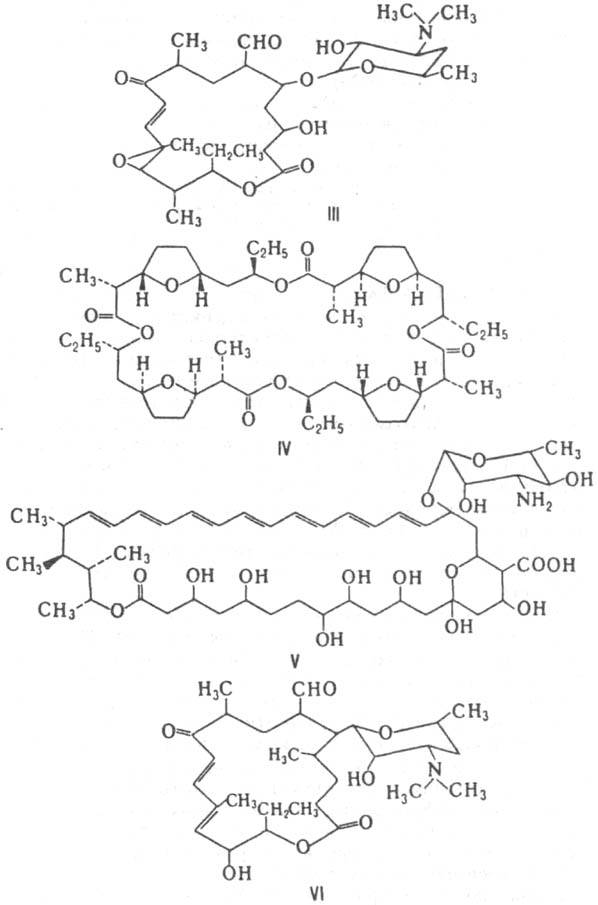
Многие макролиды продуцируются штаммами бактерий, в осн. актиномицетами и стрептомицетами. Из таких макролидов наиб. распространены эритромицин, олеандомицин, розамицин и тетранактин (ф-лы, соотв., I-IV), продуцируемые штаммами Streptomyces erythreus, Streptomyces antibioticus и родственными им организмами. Штаммами Streptomyces noursei, Actinomices levoris Krass, Actinomyces nodosus и др. продуцируются полиеновые макролиды, такие, как нистатин, леворин, амфотерицин В (ф-ла V) и др. Большинство макролидов, продуцируемых бактериями, представляют собой макролидные или полиеновые антибиотики.
Из культуральных фильтратов такие макролиды выделяют экстракцией орг. р-рителями и очищают хроматографич. методами. Известны также макролиды, продуцируемые бактериями, а затем трансформированные хим. или биохим. путем, напр. триацетилолеандомицин и нек-рые модифицир. эритромицины. Хим. путем обычно синтезируют незамещенные макролиды. Их получают лактонизацией w-галогенокислот или разл. эфиров гидроксикислот, напр.:
Хим. синтез макролидов, подобных тем, какие продуцируют бактерии, очень сложен. Он включает получение гидроксикислоты, имеющей определенные заместители, и ее послед. лактонизацию. Последнюю обычно проводят в р-рах орг. р-рителей с концентрацией к-ты, не превышающей 10-3 М, что позволяет избежать образования линейных и циклич. олигомеров. Таким путем синтезированы тилозин (ф-ла VI) и нек-рые производные эритромицина. Макролидные антибиотики подавляют рост грамположит. пенициллин-резистентных стафилококков и микоплазм, грамотрицат. кокков, спирохет, больших вирусов и простейших. Их бактериостатич. активность обусловлена ингибированием белкового синтеза в бактериях. Полиеновые антибиотики обладают в осн. антифунгицидной активностью и для бактерий не активны. Токсичность макролидов мала; ЛД50 1-3 г/кг (мыши, внутримышечно). Макролиды - душистое начало растит. мускусов. Мн. макролидные антибиотики - противомикробные и противогрибковые ср-ва, пищ. консерванты; тилозин - противомикробная добавка к кормам животных.
Литература
Бергельсон Л. Д., Шемякин М. М., Хохлов А. С., в кн.: Химия антибиотиков, 3 изд., т. 1, М., 1961; Общая органическая химия, пер. с англ., т. 4, М., 1983; Vazques D., в кн.: Antibiotics, v. 3, N.Y., 1975, р: 459-79; Back Th. G., "Tetrahedron", 1977, v. 33, № 23, p. 3041-59; Berdy J., Handbook of antibiotic compounds, v. 2, Boca Raton (Fla), 1980.
Синонимы/примеры:*
Эритромицин; Азитромицин; Кларитромицин; Рокситромицин; Джозамицин; Спирамицин; Мидекамицин
*подобраны ИИ, возможны неточности
Ещё по теме
Антибиотики — история, классификация и применение
Антибиотики — виды и механизмы действия
Противомикробные средства — классификация и применение
Пептидные антибиотики — виды, свойства и применение
Плазмиды — роль и значение в мире бактерий
Нуклеозидные антибиотики — строение и применение