Зооциды

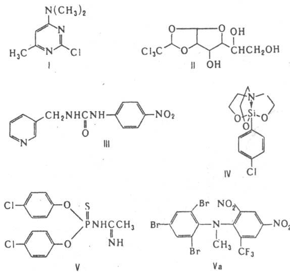
ЗООЦИДЫ (от греч. zоon - животное и лат. caedo - убиваю), хим. средства уничтожения вредителей из числа позвоночных. К ним относятся родентициды, авициды и ихтиоциды. Родентициды уничтожают грызунов, в особенности крыс (ратициды). Их используют преим. в виде отравленных пищ. приманок или питья. Различают родентициды острого (одноразового) и хронического действия. К первым относятся Tl2SO4, BaCO3, нек-рые соед. As, однако практич. применение находит лишь фосфид цинка Zn3P2 (ЛД50 15-30 мг/кг), выделяющий при гидролизе токсичный РН3 (здесь и далее ЛД50 приведены для крыс при пероральном введении). Издавна применяют прир. соединение сциллирозид - гликозид, содержащийся в красном морском луке (ЛД50 0,4-0,7 мг/кг). Ограниченное применение находят FCH2COONa (ЛД50 0,22 мг/кг) и FСН2СОNН2 - яды, для к-рых противоядие не известно; для борьбы с крысами используют a-нафтилтиомочевину (ANTU, крысид; ЛД50 6-8 мг/кг), с мышами - кримидин (ф-ла I), с сусликами и полевками - глифтор (техн. 1,3-дифтор-2-пропанол); за рубежом - хлоралозу (II), к-рая усыпляет мышей и при т-рах ниже 15°С они погибают от переохлаждения. В последнее время в качестве родентицидов предложены: пиринурон (III), 5-(4-хлорфенил)силатран (IV; ЛД50 1-4 мг/кг), фосацетил (гофацид, V; ЛД50 3,6-7,5 мг/кг), каянекс CH2(NHNHCSNH2)2 (ЛД50 25-32 мг/кг), а также брометалин (Va; ЛД50 2-5 мг/кг).
161_180-15.jpg
Для обработки складских помещений, трюмов, вагонов, затравки нор используют преим. фумиганты - SО2, HCN, CH3Br, хлорпикрин, фосфид Аl, РН3 и цианплав (техн. NaCN, выделяющий HCN; в СССР запрещен), а также выхлопные газы автомашин и аммиачную воду. Родентициды хронич. действия (антикоагулянты) наиб. эффективны и безопасны для людей. Их действие как антагонистов витамина К1 основано на ингибировании синтеза протромбина, в результате чего нарушается свертывание крови животных. К антикоагулянтам относятся производные 4-гидроксикумарина - варфарин (зоокумарин, в ф-ле VI R = С6Н5; ЛД100 4-8 мг/кг), кумахлор (в ф-ле VI R = 4-СlС6Н4), кумафурил (в ф-ле VI R = 2-фурил) и производные индандиона - пиндон (VII),
161_180-16.jpg
дифацинон (в ф-ле VIII R = Н; ЛД50 3 мг/кг) и хлорфацинон (в ф-ле VIII R = Сl).
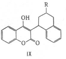
161_180-17.jpg
Активность варфарина возрастает при применении его в смеси с витамином D2, последний сам является зооцидом хронич. действия, вызывающим перерождение стенок артерий, печени и почек. В связи с появлением крыс, устойчивых к ряду антикоагулянтов, найдены новые эффективные соед. - куматетралил (в ф-ле IX R = Н), дифенакум (в ф-ле IX R = 4-С6Н5С6Н4; ЛД50 1,8 мг/кг), бродифакум (в ф-ле IX R = 4-(4'-ВrС6Н46Н4; ЛД50 0,27-0,65 мг/кг), действующий даже после однократного приема, а также бромадиолон (X).
161_180-18.jpg
161_180-19.jpg
А в и ц и д ы используют для борьбы с птицами, выклевывающими семена на полях и создающих помехи на аэродромах и автострадах; их применяют преим. в виде пищ. приманок. В качестве авицидов м. б. использованы эндрин и нек-рые фосфорорг. соед., напр., фентион, мевинфос, паратион (см. Инсектициды), гидрохлорид 3-хлор-n-толундина (старлицид), 4-аминопиридин (авитрол), применяются также хлоралоза и 2.2.2-трибромэтанол, действующие как снотворное. Однако авициды чаще всего применяют не как средства истребления, а для отпугивания (крик отравленных птиц предупреждает всю стаю). Ихтиоциды используют иногда для уничтожения сорной рыбы. Наиб. эффективен ротенон, норма расхода ок. 5 кг/(га.м); нек-рое применение находит также антибиотик антимицин. Весьма ядовиты для рыб мн. хлорорг. пестициды, напр., токсафен, эндрин, эндосульфан, однако из-за чрезмерной устойчивости они малопригодны для практич. применения. Все зооциды сильные яды, и их произ-во, хранение и применение допускается только с разрешения соответствующих государств. органов, при строгом соблюдении установл. правил.
Литература
Справочник по пестицидам, М., 1985; Rodenticides: analyses, specifications, formulations, for use in public health and agriculture, Rome, 1979; Ware G., Pesticides. Theory and appilication, S.-F., 1983, p. 75-87; Chemie der Pflanzenschutz-und Schadlingsbekampfungsmittel, hrsg. von R. Wegler, Bd 1, В., 1970, S. 584-628; Mallis A., Handbook of pest control, 6 ed., Cleveland, 1982, p. 5-79, 791-861.
Г. С. Швиндлерман.